Seneste opdatering :
27/04/2026
Antiparacitær   Artesunate  
Stikpille
Injektion
Stabilitet af farmaceutiske tilberedninger Stabilitet i blandinger Faktorer der påvirker stabiliteten Kompatibilitet Bibliografi pdf
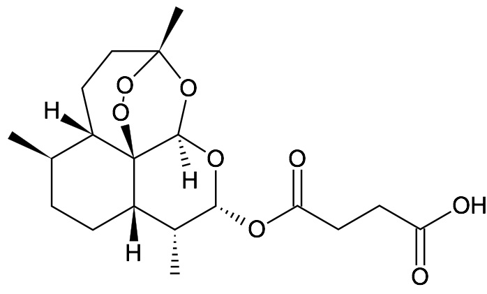
   Kemisk struktur  

Stikpille

Faktorer der påvirker stabiliteten   Stikpille   Faktorer der påvirker stabiliteten : Artesunate        
Ingen data

  Mentions Légales