Siste oppdatering :
27/04/2026
Antiparasittmiddel   Artesunate  
Stikkpille
Injeksjon
Stabilitet av farmasøytiske preparater Stabilitet i blandinger Faktorer som påvirker stabiliteten Kompatibilitet Referanser pdf
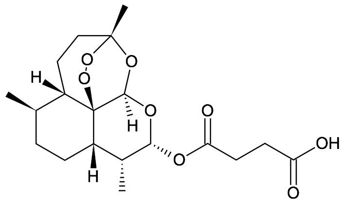
   Kjemisk struktur  

Stikkpille

Faktorer som påvirker stabiliteten   Stikkpille   Faktorer som påvirker stabiliteten : Artesunate        
Ingen opplysninger

  Mentions Légales