Laatste update :
27/04/2026
Antiparasiticum   Artesunate  
zetpil
injecteerbaar geneesmiddel
Stabiliteit van farmaceutische preparaten Stabiliteit in mengsels Factoren die de stabiliteit beïnvloeden Verenigbaarheden Literatuur pdf
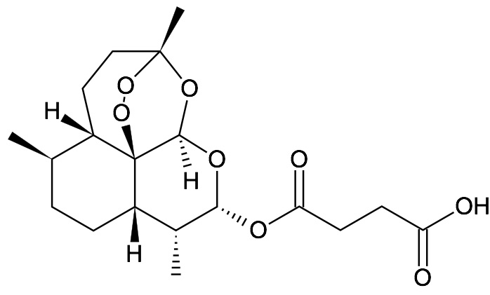
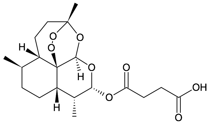
   Molecuulstructuur  

zetpil

Factoren die de stabiliteit beïnvloeden   zetpil   Factoren die de stabiliteit beïnvloeden : Artesunate        
geen gegevens

  Mentions Légales