Ostatnia aktualizacja :
27/04/2026
Lek przeciwpasożytniczy   Artesunate  
Czopek
Injekcje
Stabilność preparatów farmaceutycznych Trwałość w mieszaninie Czynnik wpływający na trwałość Zgodność Bibliografia pdf
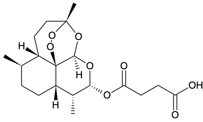
   Struktura chemiczna  

Czopek

Czynnik wpływający na trwałość   Czopek   Czynnik wpływający na trwałość : Artesunate        
Brak danych

  Mentions Légales