Останнє оновлення :
27/04/2026
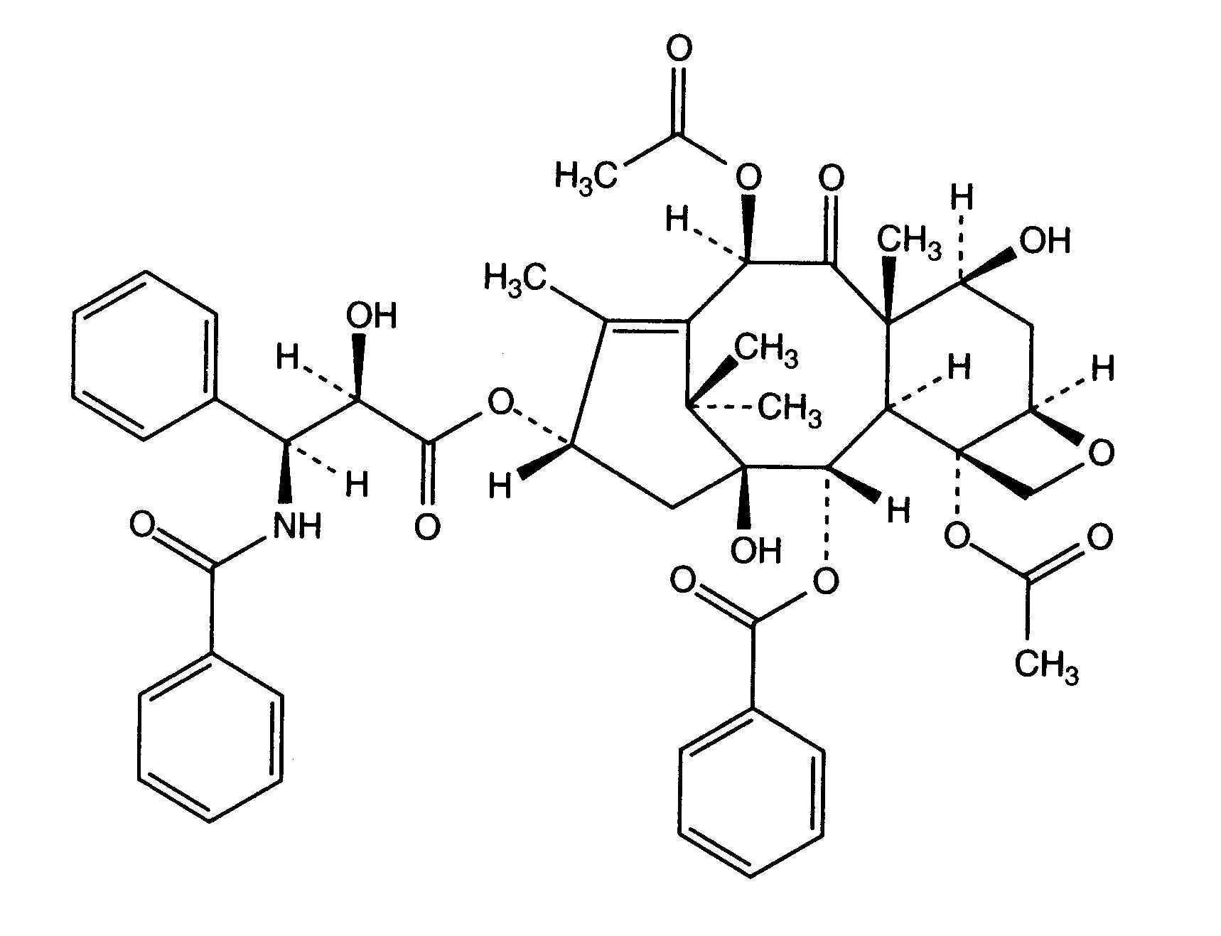
Протипухлинний препарат   Paclitaxel  
ін'єкція
Стійкість в розчинах Стійкість сумішей Фактори, що впливають на стабільність Сумісність Шлях введення Список літератури pdf
   Хімічна структура  

Торгова назва   Торгова назва     

Торгові назви є орієнтовними, а склад допоміжних речовин може бути різним залежно від країни та виробника

Aclipak Малайзія
Acoexcel Мексика
Acupaxil Марокко
Anzatax Єгипет, Іран, Малайзія, Марокко, Нова Зеландія, Об'єднані Арабські Емірати, Перу, Саудівська Аравія, Туніс, Туреччина
Aritaxel Німеччина
Cantaxel Індія
Clitaxel Аргентина, Венесуела
Dalys Аргентина
Ebetaxel Іран, Австрія, Марокко, Саудівська Аравія, Туніс, Туреччина
Genexol Єгипет, Індія, Іран
Onxol Сполучені Штати Америки
Paclinova Аргентина
Paclitaxin Бразилія, Люксембург, Малайзія, Словенія
Parexel Бразилія, Венесуела, Еквадор, Колумбія
Paxene Ірландія, Іспанія, Греція, Данія, Нідерланди, Польща
Poltaxel Польща
Ribotax Німеччина
Taxol Єгипет, Іран, Італія, Австрія, Бразилія, Венесуела, Греція, Данія, Колумбія, Малайзія, Марокко, Нідерланди, Нова Зеландія, Об'єднані Арабські Емірати, Перу, Польща, Португалія, Словенія, Туреччина, Швейцарія, Швеція, Японія
Taxomedac Німеччина
Vitax Бразилія, Перу, Туреччина
Стійкість сумішей   ін'єкція   Стійкість сумішей : Paclitaxel     
Контейнер Розчинник Концентрація З'єднання температура Зберігання Тривалість стабільності Список літератури
скло Натрію хлорид 0,9% 0,145 mg/ml
ін'єкція   Paclitaxel   
ін'єкція   Granisetron hydrochloride 0,5 mg/ml
20°C-23°C
4 годину
світло 57
Рівень доказовості А+
скло Глюкоза 5% 0,3 & 1,2 mg/ml
ін'єкція   Paclitaxel   
ін'єкція   Ondansetron hydrochloride 0,03 & 0,3 mg/ml
23°C
4 годину
світло 47
Рівень доказовості А
скло Глюкоза 5% 0,3 & 1,2 mg/ml
ін'єкція   Paclitaxel   
ін'єкція   Ranitidine hydrochloride 0,5 & 2 mg/ml
23°C
4 годину
світло 47
Рівень доказовості А
скло Глюкоза 5% 1,2 mg/ml
ін'єкція   Paclitaxel   
ін'єкція   Ondansetron hydrochloride 0,3 mg/ml
ін'єкція   Ranitidine hydrochloride 2,0 mg/ml
23°C
4 годину
світло 47
Рівень доказовості А
скло Глюкоза 5% 0,3 & 1,2 mg/ml
ін'єкція   Paclitaxel   
ін'єкція   Fluconazole 2 mg/ml
23°C
4 годину
світло 151
Рівень доказовості А
скло Глюкоза 5% 0,62 mg/ml
ін'єкція   Paclitaxel   
ін'єкція   Palonosetron hydrochloride 26,6 µg/ml
25°C
4 годину
Не визначено 1940
Рівень доказовості А+
скло Глюкоза 5% 0,6 mg/ml
ін'єкція   Paclitaxel   
ін'єкція   Acetyl L-carnitine 15 mg/ml
25°C
4 годину
3277
Рівень доказовості А+
Поліолефін Натрію хлорид 0,9% 0,3 & 1,2 mg/ml
ін'єкція   Paclitaxel   
ін'єкція   Doxorubicin hydrochloride 0,2 mg/ml
23°C
24 годину
світло 1286
Джокер
Поліолефін Натрію хлорид 0,9% 0,3 & 1,2 mg/ml
ін'єкція   Paclitaxel   
ін'єкція   Carboplatin 2 mg/ml
23°C
24 годину
Не визначено 872
Рівень доказовості B+
Поліолефін Натрію хлорид 0,9% 0,3 & 1,2 mg/ml
ін'єкція   Paclitaxel   
ін'єкція   Doxorubicin hydrochloride 0,2 mg/ml
32°C
24 годину
світло 1286
Джокер
Поліолефін Натрію хлорид 0,9% 0,3 & 1,2 mg/ml
ін'єкція   Paclitaxel   
ін'єкція   Carboplatin 2 mg/ml
32°C
24 годину
Не визначено 872
Рівень доказовості B+
Поліолефін Натрію хлорид 0,9% 0,3 & 1,2 mg/ml
ін'єкція   Paclitaxel   
ін'єкція   Carboplatin 2 mg/ml
4°C
24 годину
Берегти від світла 872
Рівень доказовості B+
Поліолефін Натрію хлорид 0,9% 0,3 & 1,2 mg/ml
ін'єкція   Paclitaxel   
ін'єкція   Doxorubicin hydrochloride 0,2 mg/ml
4°C
24 годину
Берегти від світла 1286
Джокер
Поліолефін Глюкоза 5% 0,3 & 1,2 mg/ml
ін'єкція   Paclitaxel   
ін'єкція   Doxorubicin hydrochloride 0,2 mg/ml
23°C
24 годину
світло 1286
Джокер
Поліолефін Глюкоза 5% 0,3 & 1,2 mg/ml
ін'єкція   Paclitaxel   
ін'єкція   Carboplatin 2 mg/ml
23°C
24 годину
Не визначено 872
Рівень доказовості B+
Поліолефін Глюкоза 5% 0,3 & 1,2 mg/ml
ін'єкція   Paclitaxel   
ін'єкція   Doxorubicin hydrochloride 0,2 mg/ml
32°C
24 годину
світло 1286
Джокер
Поліолефін Глюкоза 5% 0,3 & 1,2 mg/ml
ін'єкція   Paclitaxel   
ін'єкція   Carboplatin 2 mg/ml
32°C
24 годину
Не визначено 872
Рівень доказовості B+
Поліолефін Глюкоза 5% 0,3 & 1,2 mg/ml
ін'єкція   Paclitaxel   
ін'єкція   Carboplatin 2 mg/ml
4°C
24 годину
Берегти від світла 872
Рівень доказовості B+
Поліолефін Глюкоза 5% 0,3 & 1,2 mg/ml
ін'єкція   Paclitaxel   
ін'єкція   Doxorubicin hydrochloride 0,2 mg/ml
4°C
24 годину
Берегти від світла 1286
Джокер
Не визначено Натрію хлорид 0,9% 0,27 mg/ml
ін'єкція   Paclitaxel   
ін'єкція   Topotecan 0,028 mg/ml
20°C-23°C
4 годину
світло 1026
Рівень доказовості C
Не визначено Глюкоза 5% 0,27 mg/ml
ін'єкція   Paclitaxel   
ін'єкція   Topotecan 0,028 mg/ml
20°C-23°C
4 годину
світло 1026
Рівень доказовості C

  Mentions Légales