Siste oppdatering :
27/04/2026
kreft narkotika   Paclitaxel  
Injeksjon
Oppløsningsstabilitet Stabilitet i blandinger Faktorer som påvirker stabiliteten Kompatibilitet Administrasjonsmåte Referanser pdf
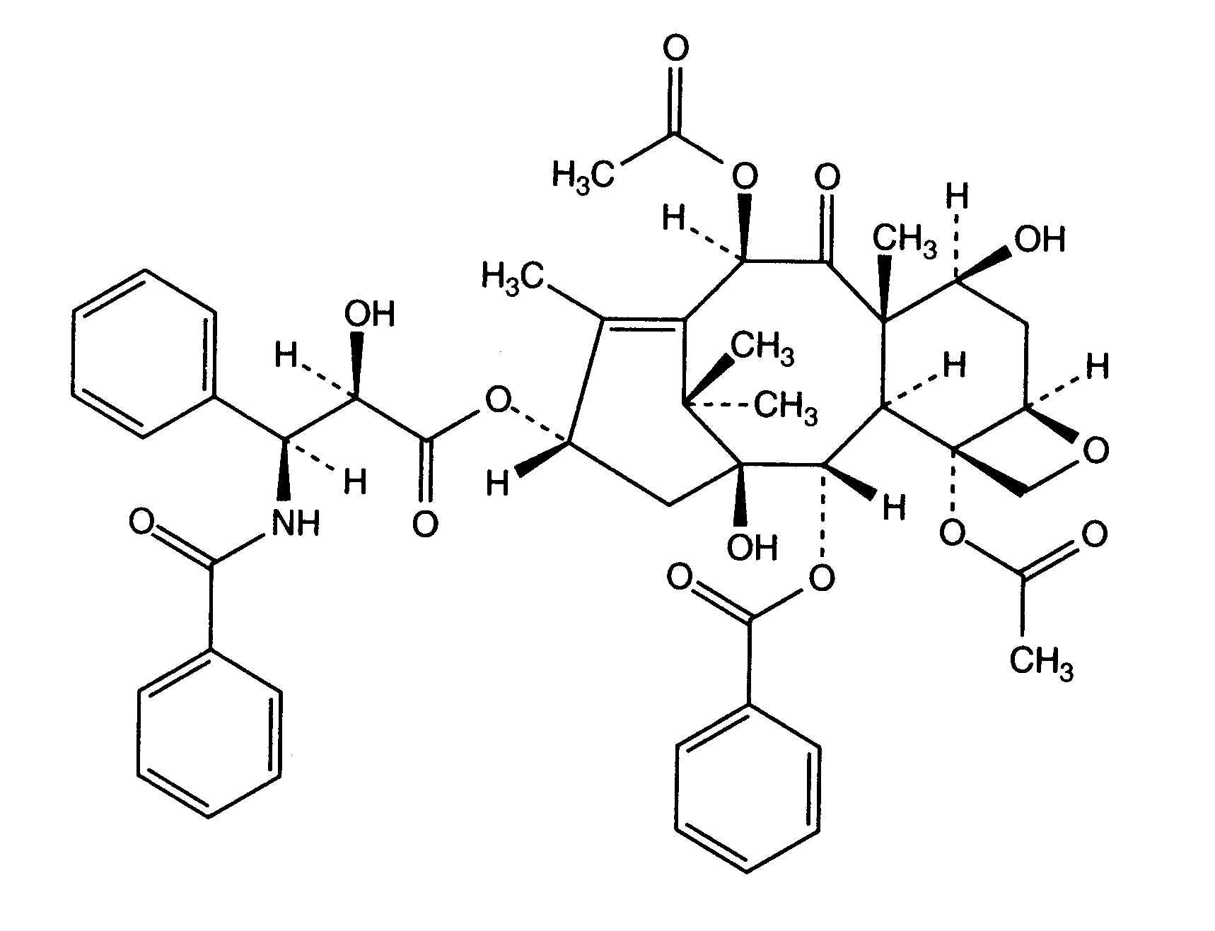
   Kjemisk struktur  

Handelsnavn   Handelsnavn     

Handelsnavn er veiledende og sammensetning av hjelpestoffer kan være forskjellig avhengig av land og produsent

Aclipak Malaysia
Acoexcel Mexico
Acupaxil Marokko
Anzatax De forente arabiske emirater, Egypt, Iran, Malaysia, Marokko, New Zealand, Peru, Saudi-Arabia, Tunisia, Tyrkia
Aritaxel Tyskland
Cantaxel India
Clitaxel Argentina, Venezuela
Dalys Argentina
Ebetaxel Iran, Marokko, Saudi-Arabia, Tunisia, Tyrkia, Østerrike
Genexol Egypt, India, Iran
Onxol USA
Paclinova Argentina
Paclitaxin Brasil, Luxembourg, Malaysia, Slovenia
Parexel Brasil, Colombia, Ecuador, Venezuela
Paxene Danmark, Hellas, Irland, Nederland, Polen, Spania
Poltaxel Polen
Ribotax Tyskland
Taxol Brasil, Colombia, Danmark, De forente arabiske emirater, Egypt, Hellas, Iran, Italia, Japan, Malaysia, Marokko, Nederland, New Zealand, Peru, Polen, Portugal, Slovenia, Sveits, Sverige, Tyrkia, Venezuela, Østerrike
Taxomedac Tyskland
Vitax Brasil, Peru, Tyrkia
Stabilitet i blandinger   Injeksjon   Stabilitet i blandinger : Paclitaxel     
Beholder Oppløsningsmiddel Konsentrasjon Legemiddel Temperatur Oppbevaring Varighet av stabilitet Referanser
Glass Natriumklorid 0,9 % 0,145 mg/ml
Injeksjon   Paclitaxel   
Injeksjon   Granisetron hydrochloride 0,5 mg/ml
20°C-23°C
4 Tid
Lys 57
Bevisgrad A +
Glass Glukose 5 % 0,3 & 1,2 mg/ml
Injeksjon   Paclitaxel   
Injeksjon   Ondansetron hydrochloride 0,03 & 0,3 mg/ml
23°C
4 Tid
Lys 47
Bevisgrad A
Glass Glukose 5 % 0,3 & 1,2 mg/ml
Injeksjon   Paclitaxel   
Injeksjon   Ranitidine hydrochloride 0,5 & 2 mg/ml
23°C
4 Tid
Lys 47
Bevisgrad A
Glass Glukose 5 % 1,2 mg/ml
Injeksjon   Paclitaxel   
Injeksjon   Ondansetron hydrochloride 0,3 mg/ml
Injeksjon   Ranitidine hydrochloride 2,0 mg/ml
23°C
4 Tid
Lys 47
Bevisgrad A
Glass Glukose 5 % 0,3 & 1,2 mg/ml
Injeksjon   Paclitaxel   
Injeksjon   Fluconazole 2 mg/ml
23°C
4 Tid
Lys 151
Bevisgrad A
Glass Glukose 5 % 0,62 mg/ml
Injeksjon   Paclitaxel   
Injeksjon   Palonosetron hydrochloride 26,6 µg/ml
25°C
4 Tid
Ikke angitt 1940
Bevisgrad A +
Glass Glukose 5 % 0,6 mg/ml
Injeksjon   Paclitaxel   
Injeksjon   Acetyl L-carnitine 15 mg/ml
25°C
4 Tid
3277
Bevisgrad A +
Polyolefin Natriumklorid 0,9 % 0,3 & 1,2 mg/ml
Injeksjon   Paclitaxel   
Injeksjon   Doxorubicin hydrochloride 0,2 mg/ml
23°C
24 Tid
Lys 1286
Joker
Polyolefin Natriumklorid 0,9 % 0,3 & 1,2 mg/ml
Injeksjon   Paclitaxel   
Injeksjon   Carboplatin 2 mg/ml
23°C
24 Tid
Ikke angitt 872
Bevisgrad B+
Polyolefin Natriumklorid 0,9 % 0,3 & 1,2 mg/ml
Injeksjon   Paclitaxel   
Injeksjon   Doxorubicin hydrochloride 0,2 mg/ml
32°C
24 Tid
Lys 1286
Joker
Polyolefin Natriumklorid 0,9 % 0,3 & 1,2 mg/ml
Injeksjon   Paclitaxel   
Injeksjon   Carboplatin 2 mg/ml
32°C
24 Tid
Ikke angitt 872
Bevisgrad B+
Polyolefin Natriumklorid 0,9 % 0,3 & 1,2 mg/ml
Injeksjon   Paclitaxel   
Injeksjon   Carboplatin 2 mg/ml
4°C
24 Tid
Beskyttes mot lys 872
Bevisgrad B+
Polyolefin Natriumklorid 0,9 % 0,3 & 1,2 mg/ml
Injeksjon   Paclitaxel   
Injeksjon   Doxorubicin hydrochloride 0,2 mg/ml
4°C
24 Tid
Beskyttes mot lys 1286
Joker
Polyolefin Glukose 5 % 0,3 & 1,2 mg/ml
Injeksjon   Paclitaxel   
Injeksjon   Doxorubicin hydrochloride 0,2 mg/ml
23°C
24 Tid
Lys 1286
Joker
Polyolefin Glukose 5 % 0,3 & 1,2 mg/ml
Injeksjon   Paclitaxel   
Injeksjon   Carboplatin 2 mg/ml
23°C
24 Tid
Ikke angitt 872
Bevisgrad B+
Polyolefin Glukose 5 % 0,3 & 1,2 mg/ml
Injeksjon   Paclitaxel   
Injeksjon   Doxorubicin hydrochloride 0,2 mg/ml
32°C
24 Tid
Lys 1286
Joker
Polyolefin Glukose 5 % 0,3 & 1,2 mg/ml
Injeksjon   Paclitaxel   
Injeksjon   Carboplatin 2 mg/ml
32°C
24 Tid
Ikke angitt 872
Bevisgrad B+
Polyolefin Glukose 5 % 0,3 & 1,2 mg/ml
Injeksjon   Paclitaxel   
Injeksjon   Carboplatin 2 mg/ml
4°C
24 Tid
Beskyttes mot lys 872
Bevisgrad B+
Polyolefin Glukose 5 % 0,3 & 1,2 mg/ml
Injeksjon   Paclitaxel   
Injeksjon   Doxorubicin hydrochloride 0,2 mg/ml
4°C
24 Tid
Beskyttes mot lys 1286
Joker
Ikke angitt Natriumklorid 0,9 % 0,27 mg/ml
Injeksjon   Paclitaxel   
Injeksjon   Topotecan 0,028 mg/ml
20°C-23°C
4 Tid
Lys 1026
Bevisgrad C
Ikke angitt Glukose 5 % 0,27 mg/ml
Injeksjon   Paclitaxel   
Injeksjon   Topotecan 0,028 mg/ml
20°C-23°C
4 Tid
Lys 1026
Bevisgrad C

  Mentions Légales