Letztes “update” :
27/04/2026
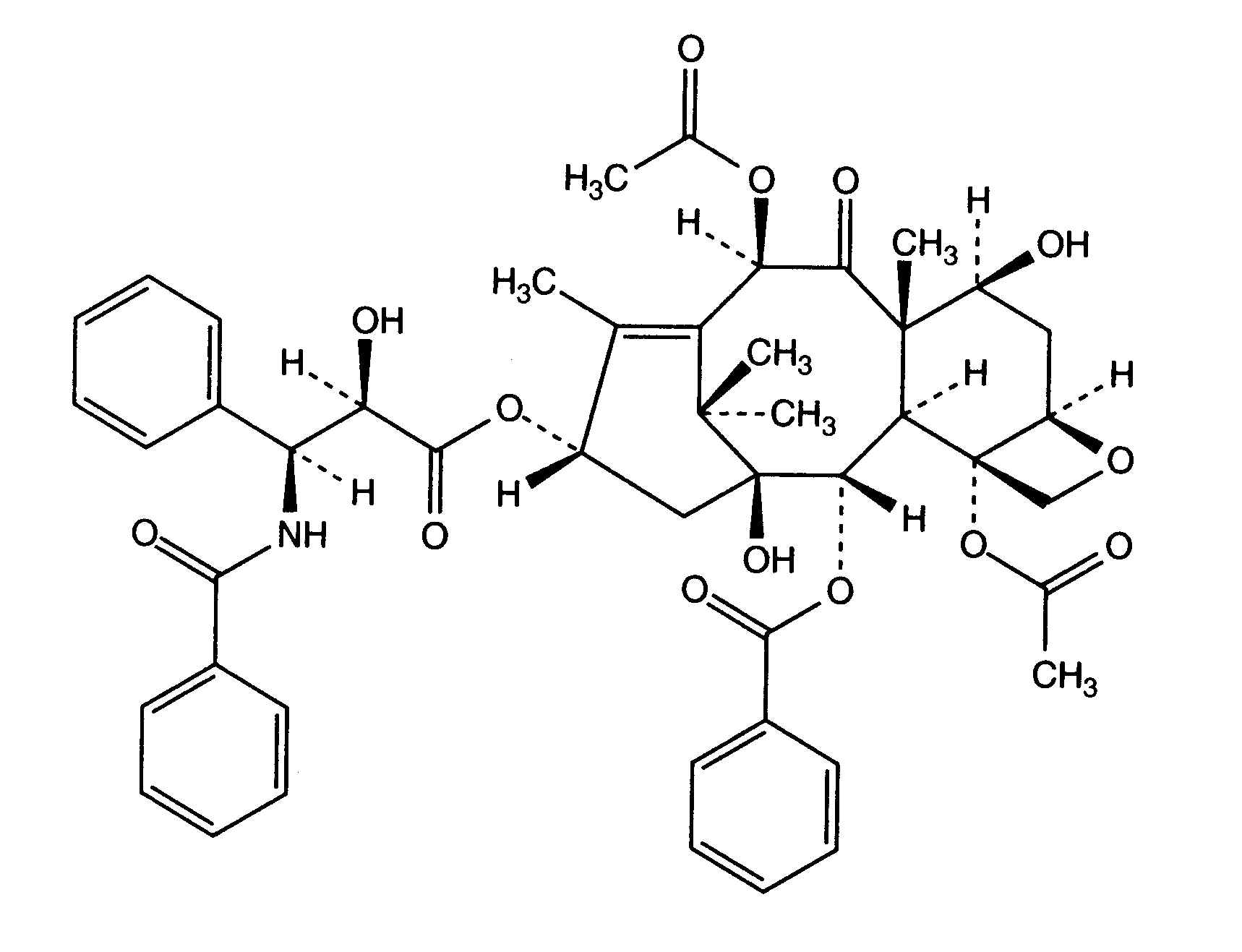
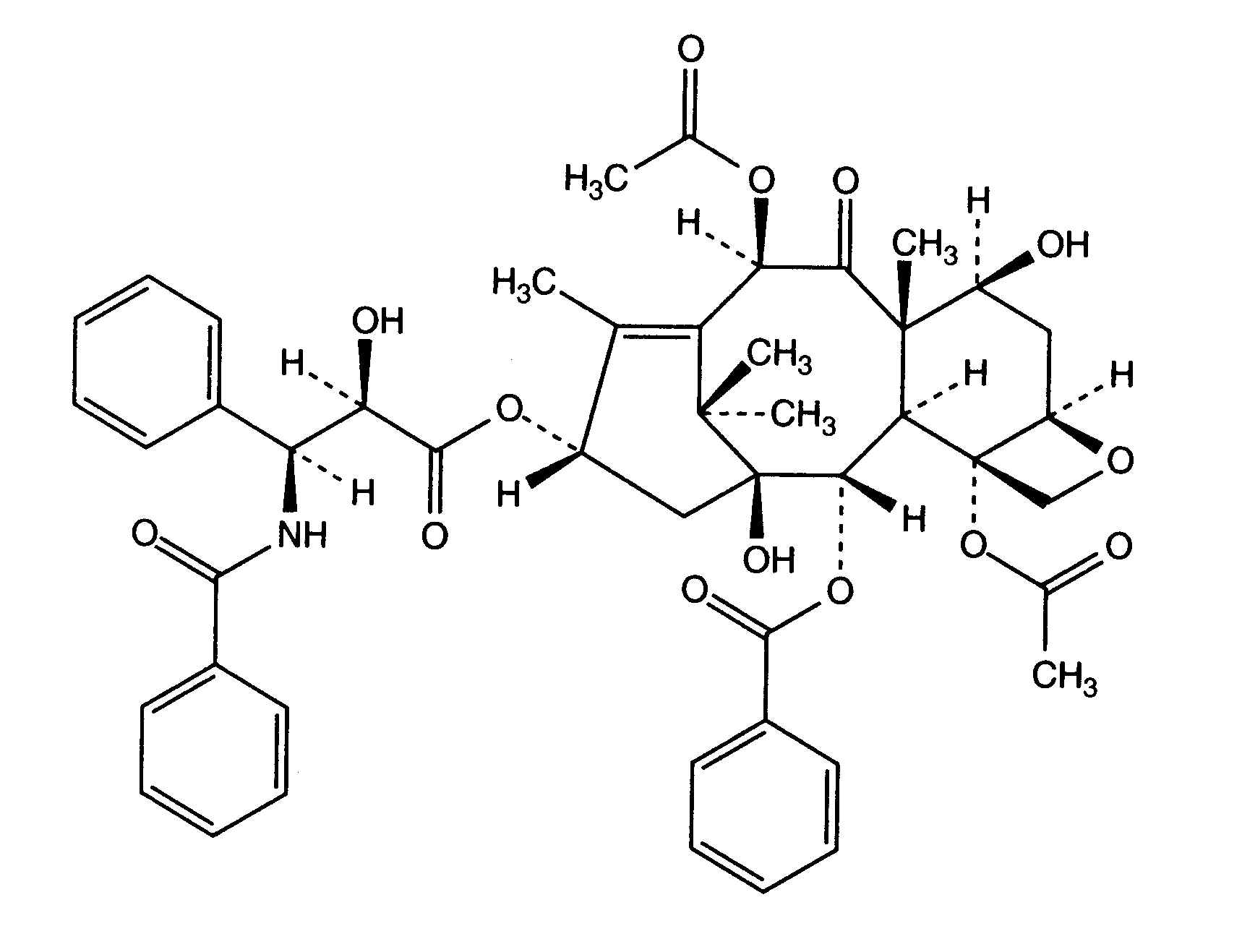
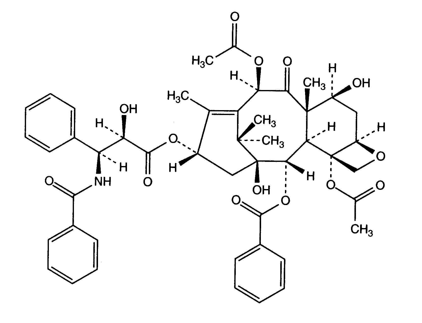
Antikrebsmittel   Paclitaxel  
Injektion
Stabilität der Lösung Gemengestabilität Stabilitätbeeinflussende Faktoren Kompatibilitäten Applikationsart Literaturverzeichnis pdf
   Chemische Struktur  

Handelsmarke   Handelsmarke     

Handelsnamen sind als beispielhaft anzusehen. Sonstige Bestandteile können je nach Hersteller oder Land verschieden sein

Aclipak Malaysia
Acoexcel Mexiko
Acupaxil Marokko
Anzatax Ägypten, Iran, Malaysia, Marokko, Neuseeland, Peru, Saudi-Arabien, Tunesien, Türkei, Vereinigte Arabische Emirate
Aritaxel Deutschland
Cantaxel Indien
Clitaxel Argentinien, Venezuela
Dalys Argentinien
Ebetaxel Iran, Marokko, Österreich, Saudi-Arabien, Tunesien, Türkei
Genexol Ägypten, Indien, Iran
Onxol Vereinigte Staaten von Amerika
Paclinova Argentinien
Paclitaxin Brasilien, Luxemburg, Malaysia, Slowenien
Parexel Brasilien, Ecuador, Kolumbien, Venezuela
Paxene Dänemark, Griechenland, Irland, Niederlande, Polen, Spanien
Poltaxel Polen
Ribotax Deutschland
Taxol Ägypten, Brasilien, Dänemark, Griechenland, Iran, Italien, Japan, Kolumbien, Malaysia, Marokko, Neuseeland, Niederlande, Österreich, Peru, Polen, Portugal, Schweden, Schweiz, Slowenien, Türkei, Venezuela, Vereinigte Arabische Emirate
Taxomedac Deutschland
Vitax Brasilien, Peru, Türkei
Gemengestabilität   Injektion   Gemengestabilität : Paclitaxel     
Behälter Lösungsmittel Konzentration Molekül Temperatur Konservierung Dauer der Stabilität Literaturverzeichnis
Glas 0,9% Natriumchlorid 0,145 mg/ml
Injektion   Paclitaxel   
Injektion   Granisetron hydrochloride 0,5 mg/ml
20°C-23°C
4 Stunde
Licht 57
Evidenzgrad A+
Glas 5% Glucose 0,3 & 1,2 mg/ml
Injektion   Paclitaxel   
Injektion   Ondansetron hydrochloride 0,03 & 0,3 mg/ml
23°C
4 Stunde
Licht 47
Evidenzgrad A
Glas 5% Glucose 0,3 & 1,2 mg/ml
Injektion   Paclitaxel   
Injektion   Ranitidine hydrochloride 0,5 & 2 mg/ml
23°C
4 Stunde
Licht 47
Evidenzgrad A
Glas 5% Glucose 1,2 mg/ml
Injektion   Paclitaxel   
Injektion   Ondansetron hydrochloride 0,3 mg/ml
Injektion   Ranitidine hydrochloride 2,0 mg/ml
23°C
4 Stunde
Licht 47
Evidenzgrad A
Glas 5% Glucose 0,3 & 1,2 mg/ml
Injektion   Paclitaxel   
Injektion   Fluconazole 2 mg/ml
23°C
4 Stunde
Licht 151
Evidenzgrad A
Glas 5% Glucose 0,62 mg/ml
Injektion   Paclitaxel   
Injektion   Palonosetron hydrochloride 26,6 µg/ml
25°C
4 Stunde
Nicht genau angegeben 1940
Evidenzgrad A+
Glas 5% Glucose 0,6 mg/ml
Injektion   Paclitaxel   
Injektion   Acetyl L-carnitine 15 mg/ml
25°C
4 Stunde
3277
Evidenzgrad A+
Polyolefin 0,9% Natriumchlorid 0,3 & 1,2 mg/ml
Injektion   Paclitaxel   
Injektion   Doxorubicin hydrochloride 0,2 mg/ml
23°C
24 Stunde
Licht 1286
Joker
Polyolefin 0,9% Natriumchlorid 0,3 & 1,2 mg/ml
Injektion   Paclitaxel   
Injektion   Carboplatin 2 mg/ml
23°C
24 Stunde
Nicht genau angegeben 872
Evidenzgrad B+
Polyolefin 0,9% Natriumchlorid 0,3 & 1,2 mg/ml
Injektion   Paclitaxel   
Injektion   Doxorubicin hydrochloride 0,2 mg/ml
32°C
24 Stunde
Licht 1286
Joker
Polyolefin 0,9% Natriumchlorid 0,3 & 1,2 mg/ml
Injektion   Paclitaxel   
Injektion   Carboplatin 2 mg/ml
32°C
24 Stunde
Nicht genau angegeben 872
Evidenzgrad B+
Polyolefin 0,9% Natriumchlorid 0,3 & 1,2 mg/ml
Injektion   Paclitaxel   
Injektion   Carboplatin 2 mg/ml
4°C
24 Stunde
Ohne Licht 872
Evidenzgrad B+
Polyolefin 0,9% Natriumchlorid 0,3 & 1,2 mg/ml
Injektion   Paclitaxel   
Injektion   Doxorubicin hydrochloride 0,2 mg/ml
4°C
24 Stunde
Ohne Licht 1286
Joker
Polyolefin 5% Glucose 0,3 & 1,2 mg/ml
Injektion   Paclitaxel   
Injektion   Doxorubicin hydrochloride 0,2 mg/ml
23°C
24 Stunde
Licht 1286
Joker
Polyolefin 5% Glucose 0,3 & 1,2 mg/ml
Injektion   Paclitaxel   
Injektion   Carboplatin 2 mg/ml
23°C
24 Stunde
Nicht genau angegeben 872
Evidenzgrad B+
Polyolefin 5% Glucose 0,3 & 1,2 mg/ml
Injektion   Paclitaxel   
Injektion   Doxorubicin hydrochloride 0,2 mg/ml
32°C
24 Stunde
Licht 1286
Joker
Polyolefin 5% Glucose 0,3 & 1,2 mg/ml
Injektion   Paclitaxel   
Injektion   Carboplatin 2 mg/ml
32°C
24 Stunde
Nicht genau angegeben 872
Evidenzgrad B+
Polyolefin 5% Glucose 0,3 & 1,2 mg/ml
Injektion   Paclitaxel   
Injektion   Carboplatin 2 mg/ml
4°C
24 Stunde
Ohne Licht 872
Evidenzgrad B+
Polyolefin 5% Glucose 0,3 & 1,2 mg/ml
Injektion   Paclitaxel   
Injektion   Doxorubicin hydrochloride 0,2 mg/ml
4°C
24 Stunde
Ohne Licht 1286
Joker
Nicht genau angegeben 0,9% Natriumchlorid 0,27 mg/ml
Injektion   Paclitaxel   
Injektion   Topotecan 0,028 mg/ml
20°C-23°C
4 Stunde
Licht 1026
Evidenzgrad C
Nicht genau angegeben 5% Glucose 0,27 mg/ml
Injektion   Paclitaxel   
Injektion   Topotecan 0,028 mg/ml
20°C-23°C
4 Stunde
Licht 1026
Evidenzgrad C

  Mentions Légales