Utolsó frissítés :
27/04/2026
rákellenes gyógyszer   Paclitaxel  
Injekció
Az oldatok stabilitása A keverékek stabilitása Stabilitást befolyásoló tényezők Kompatibilitás Az alkalmazás módja Irodalom pdf
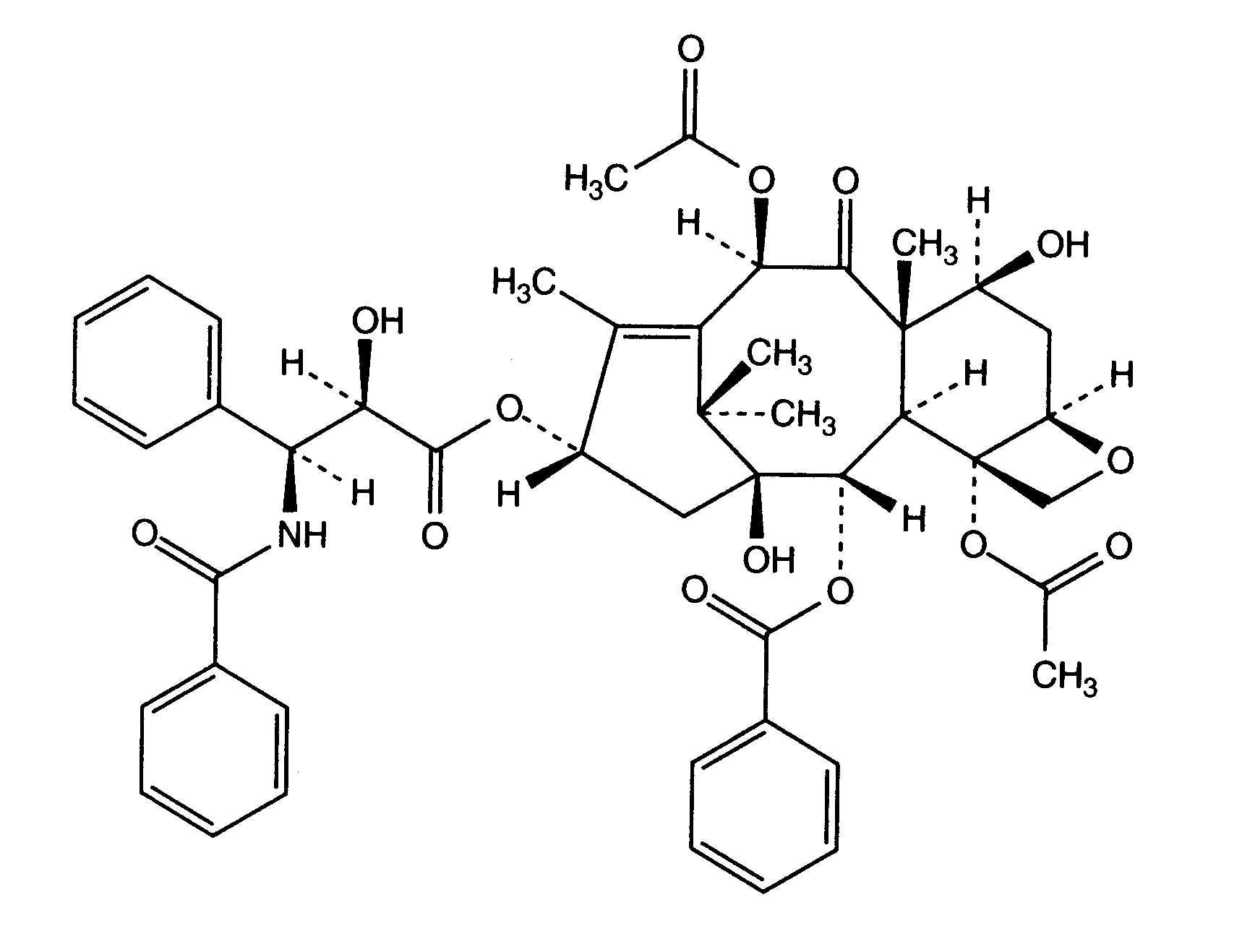
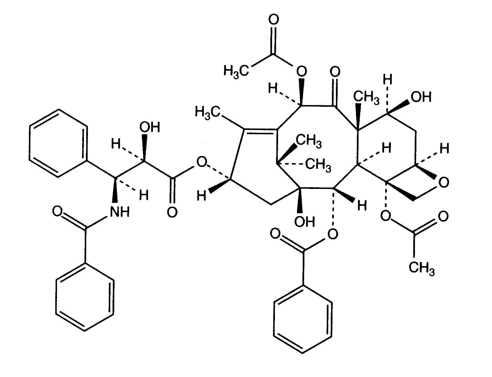
   Kémiai szerkezet   

Kereskedelmi név   Kereskedelmi név     

A kereskedelmi név meghatározó jelentőségű: a készítmények összetétele országonként, előállítóként eltérő lehet

Aclipak Malaysia
Acoexcel Mexikó
Acupaxil Marokkó
Anzatax Egyesült Arab Emírségek, Egyiptom, Irán, Malaysia, Marokkó, Peru, Szaúd-Arábiában, Törökország, Tunézia, új-Zéland
Aritaxel Németország
Cantaxel India
Clitaxel Argentína, Venezuela
Dalys Argentína
Ebetaxel Ausztria, Irán, Marokkó, Szaúd-Arábiában, Törökország, Tunézia
Genexol Egyiptom, India, Irán
Onxol Amerikai Egyesült Államok
Paclinova Argentína
Paclitaxin Brazília, Luxemburg, Malaysia, Szlovénia
Parexel Brazília, Colombia, Ecuador, Venezuela
Paxene Dánia, Görögország, Hollandia, Írország, Lengyelország, Spanyolország
Poltaxel Lengyelország
Ribotax Németország
Taxol Ausztria, Brazília, Colombia, Dánia, Egyesült Arab Emírségek, Egyiptom, Görögország, Hollandia, Irán, Japán, Lengyelország, Malaysia, Marokkó, Olaszország, Peru, Portugália, Svájc, Svédország, Szlovénia, Törökország, új-Zéland, Venezuela
Taxomedac Németország
Vitax Brazília, Peru, Törökország
A keverékek stabilitása   Injekció   A keverékek stabilitása : Paclitaxel     
Csomagolás Oldószer Koncentráció Vegyület Hőmérséklet Tárolás A stabilitás időtartama Irodalom
Üveg 0,9% nátrium-klorid 0,145 mg/ml
Injekció   Paclitaxel   
Injekció   Granisetron hydrochloride 0,5 mg/ml
20°C-23°C
4 Óra
Fény 57
Szintű bizonyítékot A+
Üveg 5% glükóz 0,3 & 1,2 mg/ml
Injekció   Paclitaxel   
Injekció   Ondansetron hydrochloride 0,03 & 0,3 mg/ml
23°C
4 Óra
Fény 47
Szintű bizonyítékot A
Üveg 5% glükóz 0,3 & 1,2 mg/ml
Injekció   Paclitaxel   
Injekció   Ranitidine hydrochloride 0,5 & 2 mg/ml
23°C
4 Óra
Fény 47
Szintű bizonyítékot A
Üveg 5% glükóz 1,2 mg/ml
Injekció   Paclitaxel   
Injekció   Ondansetron hydrochloride 0,3 mg/ml
Injekció   Ranitidine hydrochloride 2,0 mg/ml
23°C
4 Óra
Fény 47
Szintű bizonyítékot A
Üveg 5% glükóz 0,3 & 1,2 mg/ml
Injekció   Paclitaxel   
Injekció   Fluconazole 2 mg/ml
23°C
4 Óra
Fény 151
Szintű bizonyítékot A
Üveg 5% glükóz 0,62 mg/ml
Injekció   Paclitaxel   
Injekció   Palonosetron hydrochloride 26,6 µg/ml
25°C
4 Óra
Nincs meghatározva 1940
Szintű bizonyítékot A+
Üveg 5% glükóz 0,6 mg/ml
Injekció   Paclitaxel   
Injekció   Acetyl L-carnitine 15 mg/ml
25°C
4 Óra
3277
Szintű bizonyítékot A+
Poliolefin 0,9% nátrium-klorid 0,3 & 1,2 mg/ml
Injekció   Paclitaxel   
Injekció   Doxorubicin hydrochloride 0,2 mg/ml
23°C
24 Óra
Fény 1286
tréfacsináló
Poliolefin 0,9% nátrium-klorid 0,3 & 1,2 mg/ml
Injekció   Paclitaxel   
Injekció   Carboplatin 2 mg/ml
23°C
24 Óra
Nincs meghatározva 872
Szintű bizonyítékot B+
Poliolefin 0,9% nátrium-klorid 0,3 & 1,2 mg/ml
Injekció   Paclitaxel   
Injekció   Doxorubicin hydrochloride 0,2 mg/ml
32°C
24 Óra
Fény 1286
tréfacsináló
Poliolefin 0,9% nátrium-klorid 0,3 & 1,2 mg/ml
Injekció   Paclitaxel   
Injekció   Carboplatin 2 mg/ml
32°C
24 Óra
Nincs meghatározva 872
Szintű bizonyítékot B+
Poliolefin 0,9% nátrium-klorid 0,3 & 1,2 mg/ml
Injekció   Paclitaxel   
Injekció   Carboplatin 2 mg/ml
4°C
24 Óra
Fénytől védve tartandó 872
Szintű bizonyítékot B+
Poliolefin 0,9% nátrium-klorid 0,3 & 1,2 mg/ml
Injekció   Paclitaxel   
Injekció   Doxorubicin hydrochloride 0,2 mg/ml
4°C
24 Óra
Fénytől védve tartandó 1286
tréfacsináló
Poliolefin 5% glükóz 0,3 & 1,2 mg/ml
Injekció   Paclitaxel   
Injekció   Doxorubicin hydrochloride 0,2 mg/ml
23°C
24 Óra
Fény 1286
tréfacsináló
Poliolefin 5% glükóz 0,3 & 1,2 mg/ml
Injekció   Paclitaxel   
Injekció   Carboplatin 2 mg/ml
23°C
24 Óra
Nincs meghatározva 872
Szintű bizonyítékot B+
Poliolefin 5% glükóz 0,3 & 1,2 mg/ml
Injekció   Paclitaxel   
Injekció   Doxorubicin hydrochloride 0,2 mg/ml
32°C
24 Óra
Fény 1286
tréfacsináló
Poliolefin 5% glükóz 0,3 & 1,2 mg/ml
Injekció   Paclitaxel   
Injekció   Carboplatin 2 mg/ml
32°C
24 Óra
Nincs meghatározva 872
Szintű bizonyítékot B+
Poliolefin 5% glükóz 0,3 & 1,2 mg/ml
Injekció   Paclitaxel   
Injekció   Carboplatin 2 mg/ml
4°C
24 Óra
Fénytől védve tartandó 872
Szintű bizonyítékot B+
Poliolefin 5% glükóz 0,3 & 1,2 mg/ml
Injekció   Paclitaxel   
Injekció   Doxorubicin hydrochloride 0,2 mg/ml
4°C
24 Óra
Fénytől védve tartandó 1286
tréfacsináló
Nincs meghatározva 0,9% nátrium-klorid 0,27 mg/ml
Injekció   Paclitaxel   
Injekció   Topotecan 0,028 mg/ml
20°C-23°C
4 Óra
Fény 1026
Szintű bizonyítékot C
Nincs meghatározva 5% glükóz 0,27 mg/ml
Injekció   Paclitaxel   
Injekció   Topotecan 0,028 mg/ml
20°C-23°C
4 Óra
Fény 1026
Szintű bizonyítékot C

  Mentions Légales