Seneste opdatering :
27/04/2026
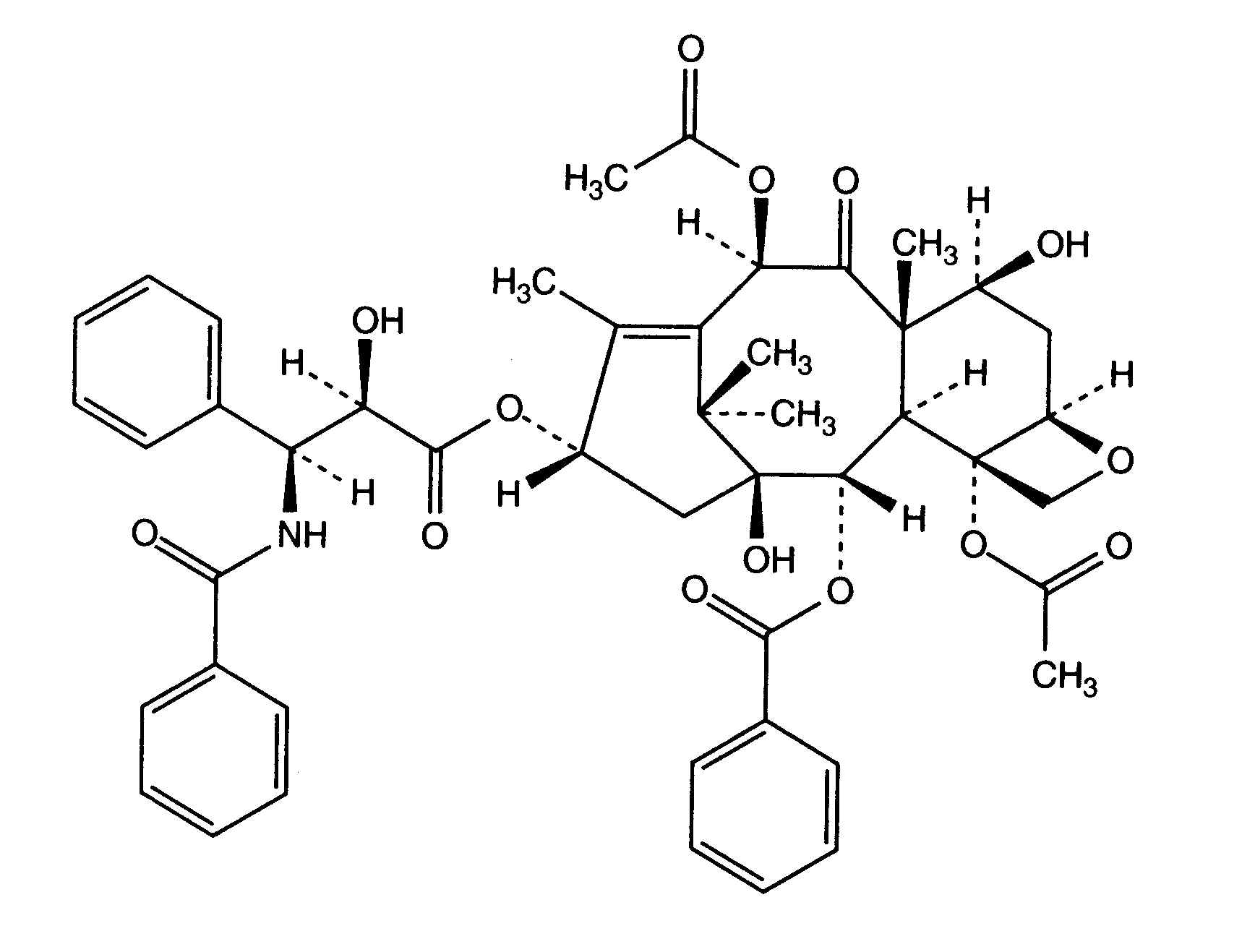
anticancer medicin   Paclitaxel  
Injektion
Stabilitet i (vandige) opløsninger Stabilitet i blandinger Faktorer der påvirker stabiliteten Kompatibilitet Administrationsvej Bibliografi pdf
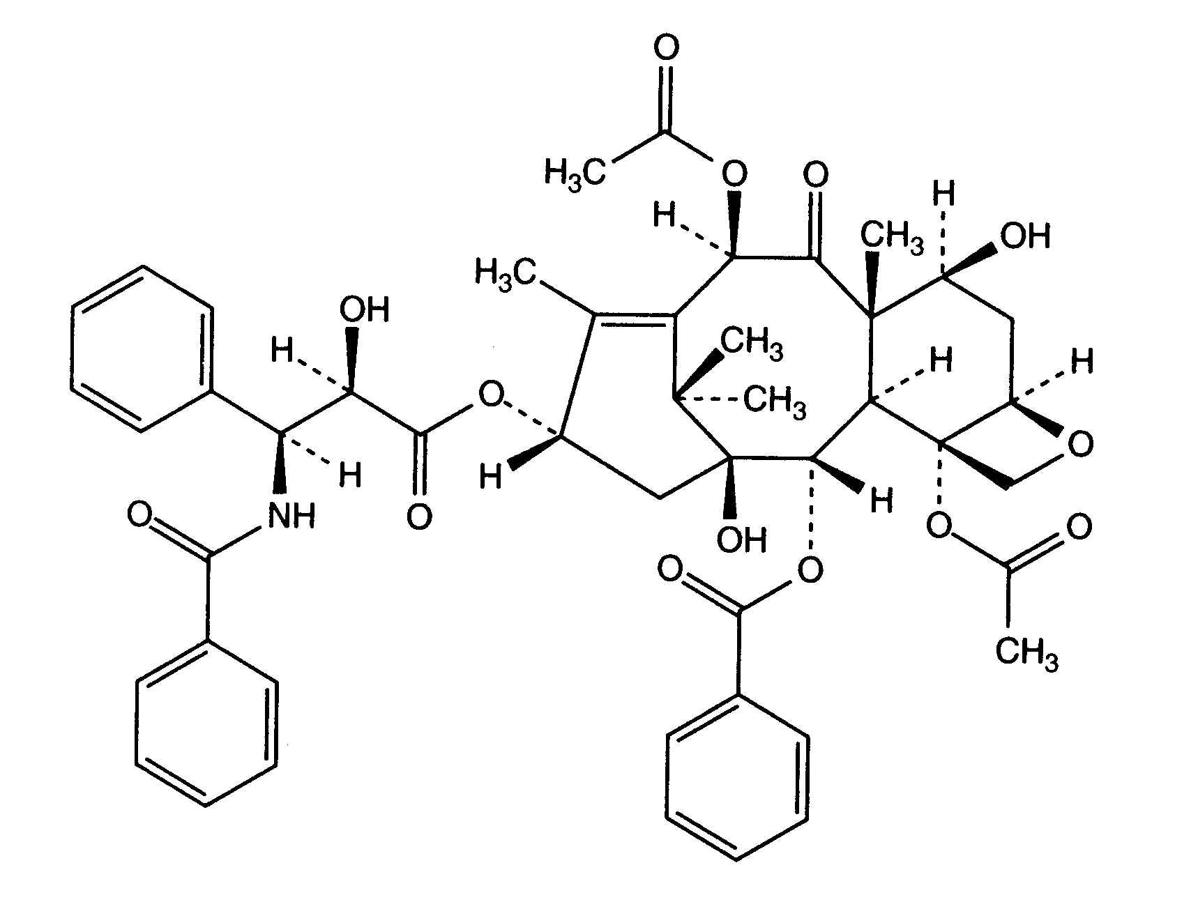
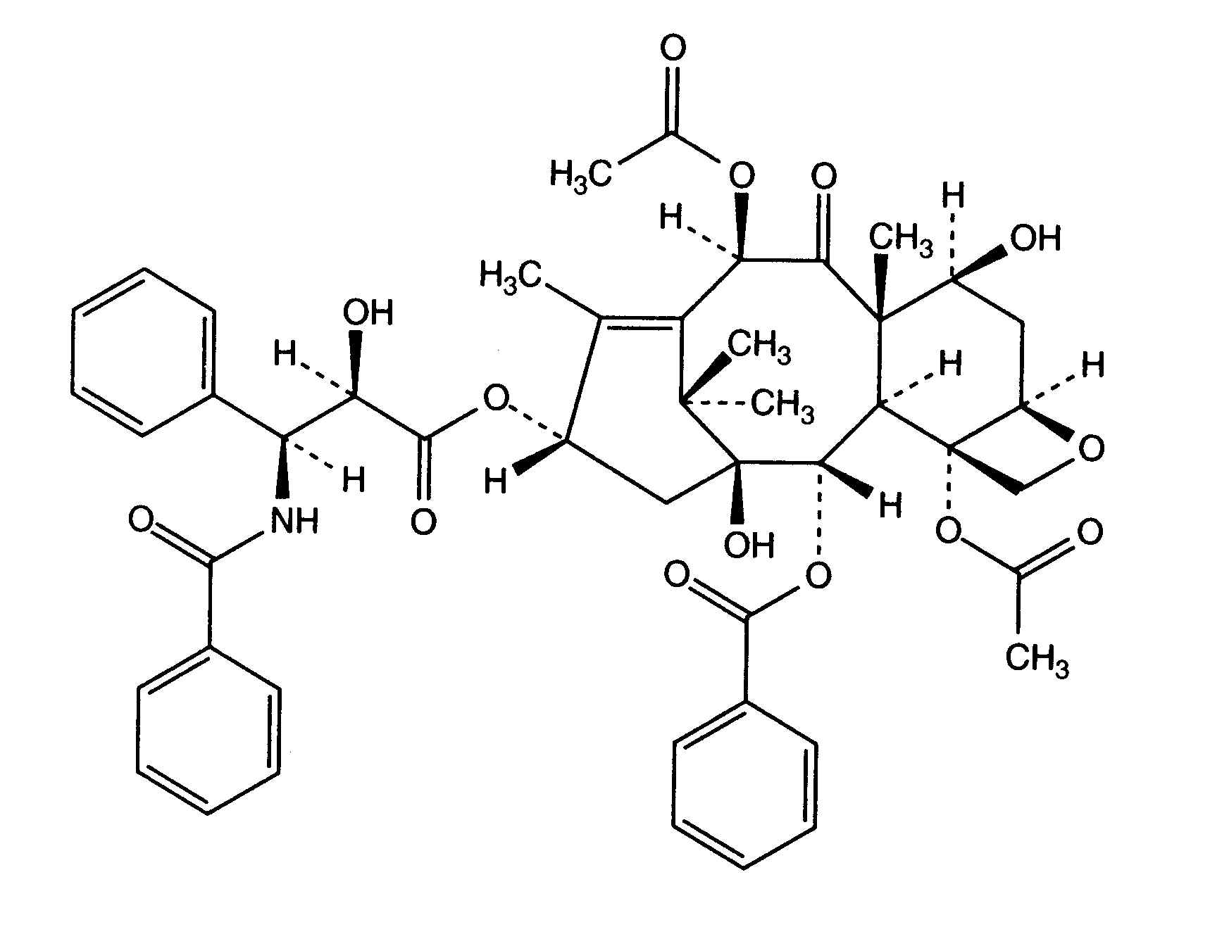
   Kemisk struktur  

Handelsnavn   Handelsnavn     

Handel navne er vejledende og hjælpestoffer sammensætning kan være forskellig afhængigt af landet og laboratorier

Aclipak Malaysia
Acoexcel Mexico
Acupaxil Marokko
Anzatax Forenede Arabiske Emirater, Iran, Malaysia, Marokko, Marokko, New Zealand, Saudi-Arabien, Tunesien, Tyrkiet, Ægypten
Aritaxel Tyskland
Cantaxel Indien
Clitaxel Argentina, Venezuela
Dalys Argentina
Ebetaxel Iran, Marokko, Saudi-Arabien, Tunesien, Tyrkiet, Østrig
Genexol Indien, Iran, Ægypten
Onxol USA
Paclinova Argentina
Paclitaxin Brasilien, Luxemborg, Malaysia, Slovenien
Parexel Brasilien, Colombia, Ecuador, Venezuela
Paxene Danmark, Grækenland, Holland, Irland, Polen, Spanien
Poltaxel Polen
Ribotax Tyskland
Taxol Brasilien, Colombia, Danmark, Forenede Arabiske Emirater, Grækenland, Holland, Iran, Italien, Japan, Malaysia, Marokko, Marokko, New Zealand, Polen, Portugal, Schweiz, Slovenien, Sverige, Tyrkiet, Venezuela, Ægypten, Østrig
Taxomedac Tyskland
Vitax Brasilien, Marokko, Tyrkiet
Stabilitet i blandinger   Injektion   Stabilitet i blandinger : Paclitaxel     
Beholder Opløsningsmiddel Koncentration Molekyle Temperatur Konservering Varighed af stabilitet Bibliografi
Glas 0,9 % Natriumklorid 0,145 mg/ml
Injektion   Paclitaxel   
Injektion   Granisetron hydrochloride 0,5 mg/ml
20°C-23°C
4 Time
Lys 57
Level af bevismateriale A+
Glas 5 % Glukose 0,3 & 1,2 mg/ml
Injektion   Paclitaxel   
Injektion   Ondansetron hydrochloride 0,03 & 0,3 mg/ml
23°C
4 Time
Lys 47
Level af bevismateriale A
Glas 5 % Glukose 0,3 & 1,2 mg/ml
Injektion   Paclitaxel   
Injektion   Ranitidine hydrochloride 0,5 & 2 mg/ml
23°C
4 Time
Lys 47
Level af bevismateriale A
Glas 5 % Glukose 1,2 mg/ml
Injektion   Paclitaxel   
Injektion   Ondansetron hydrochloride 0,3 mg/ml
Injektion   Ranitidine hydrochloride 2,0 mg/ml
23°C
4 Time
Lys 47
Level af bevismateriale A
Glas 5 % Glukose 0,3 & 1,2 mg/ml
Injektion   Paclitaxel   
Injektion   Fluconazole 2 mg/ml
23°C
4 Time
Lys 151
Level af bevismateriale A
Glas 5 % Glukose 0,62 mg/ml
Injektion   Paclitaxel   
Injektion   Palonosetron hydrochloride 26,6 µg/ml
25°C
4 Time
Ikke nærmere angivet 1940
Level af bevismateriale A+
Glas 5 % Glukose 0,6 mg/ml
Injektion   Paclitaxel   
Injektion   Acetyl L-carnitine 15 mg/ml
25°C
4 Time
3277
Level af bevismateriale A+
Polyolefin 0,9 % Natriumklorid 0,3 & 1,2 mg/ml
Injektion   Paclitaxel   
Injektion   Doxorubicin hydrochloride 0,2 mg/ml
23°C
24 Time
Lys 1286
Joker
Polyolefin 0,9 % Natriumklorid 0,3 & 1,2 mg/ml
Injektion   Paclitaxel   
Injektion   Carboplatin 2 mg/ml
23°C
24 Time
Ikke nærmere angivet 872
Level af bevismateriale B+
Polyolefin 0,9 % Natriumklorid 0,3 & 1,2 mg/ml
Injektion   Paclitaxel   
Injektion   Doxorubicin hydrochloride 0,2 mg/ml
32°C
24 Time
Lys 1286
Joker
Polyolefin 0,9 % Natriumklorid 0,3 & 1,2 mg/ml
Injektion   Paclitaxel   
Injektion   Carboplatin 2 mg/ml
32°C
24 Time
Ikke nærmere angivet 872
Level af bevismateriale B+
Polyolefin 0,9 % Natriumklorid 0,3 & 1,2 mg/ml
Injektion   Paclitaxel   
Injektion   Carboplatin 2 mg/ml
4°C
24 Time
Beskyt mod lys 872
Level af bevismateriale B+
Polyolefin 0,9 % Natriumklorid 0,3 & 1,2 mg/ml
Injektion   Paclitaxel   
Injektion   Doxorubicin hydrochloride 0,2 mg/ml
4°C
24 Time
Beskyt mod lys 1286
Joker
Polyolefin 5 % Glukose 0,3 & 1,2 mg/ml
Injektion   Paclitaxel   
Injektion   Doxorubicin hydrochloride 0,2 mg/ml
23°C
24 Time
Lys 1286
Joker
Polyolefin 5 % Glukose 0,3 & 1,2 mg/ml
Injektion   Paclitaxel   
Injektion   Carboplatin 2 mg/ml
23°C
24 Time
Ikke nærmere angivet 872
Level af bevismateriale B+
Polyolefin 5 % Glukose 0,3 & 1,2 mg/ml
Injektion   Paclitaxel   
Injektion   Doxorubicin hydrochloride 0,2 mg/ml
32°C
24 Time
Lys 1286
Joker
Polyolefin 5 % Glukose 0,3 & 1,2 mg/ml
Injektion   Paclitaxel   
Injektion   Carboplatin 2 mg/ml
32°C
24 Time
Ikke nærmere angivet 872
Level af bevismateriale B+
Polyolefin 5 % Glukose 0,3 & 1,2 mg/ml
Injektion   Paclitaxel   
Injektion   Carboplatin 2 mg/ml
4°C
24 Time
Beskyt mod lys 872
Level af bevismateriale B+
Polyolefin 5 % Glukose 0,3 & 1,2 mg/ml
Injektion   Paclitaxel   
Injektion   Doxorubicin hydrochloride 0,2 mg/ml
4°C
24 Time
Beskyt mod lys 1286
Joker
Ikke angivet nærmere 0,9 % Natriumklorid 0,27 mg/ml
Injektion   Paclitaxel   
Injektion   Topotecan 0,028 mg/ml
20°C-23°C
4 Time
Lys 1026
Level af bevismateriale C
Ikke angivet nærmere 5 % Glukose 0,27 mg/ml
Injektion   Paclitaxel   
Injektion   Topotecan 0,028 mg/ml
20°C-23°C
4 Time
Lys 1026
Level af bevismateriale C

  Mentions Légales