最新更新 :
27/04/2026
抗癌藥物   Paclitaxel  
注射液
溶液稳定性 混合物稳定性 影响稳定性的因素 兼容性 用药途径 引用文献 PDF
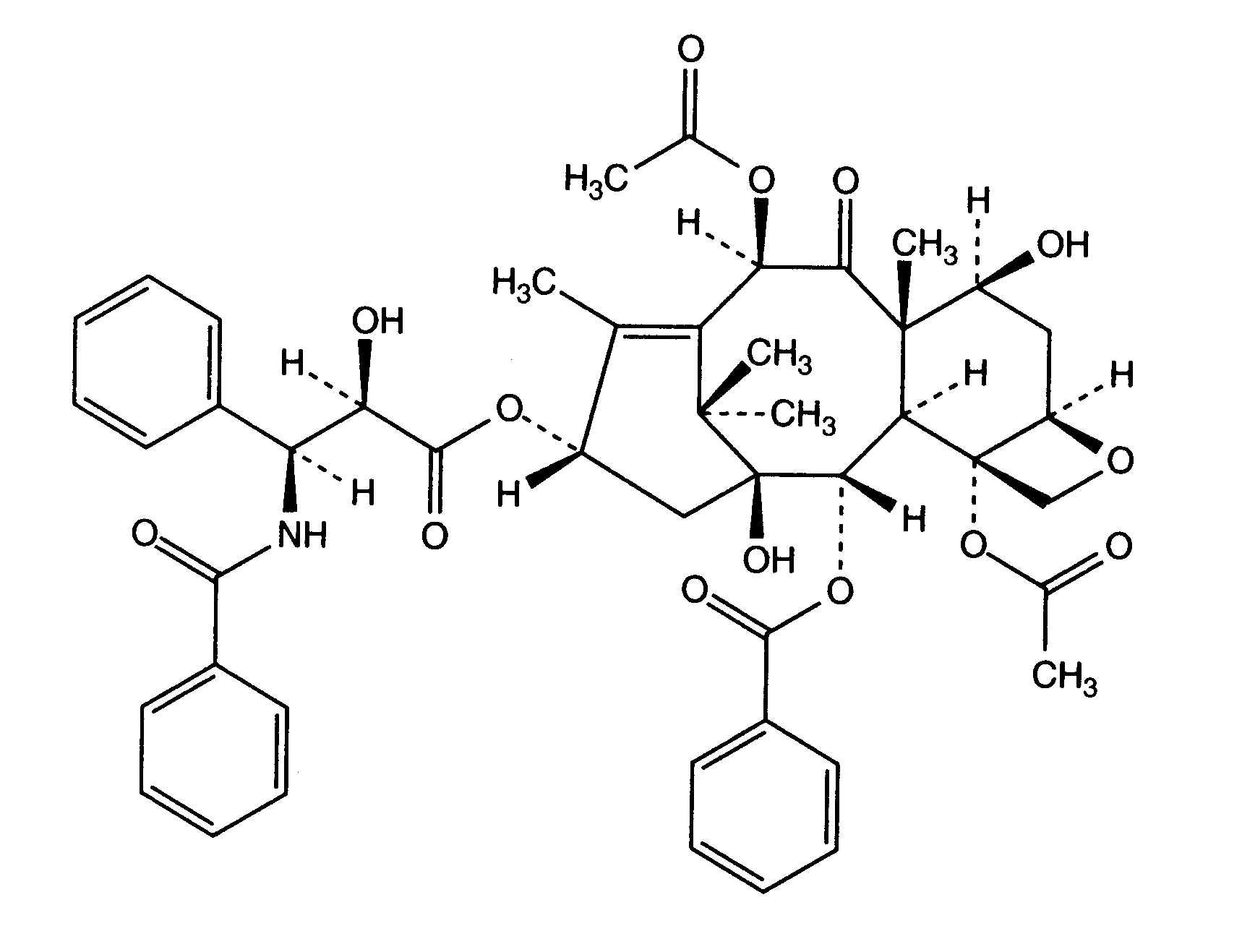
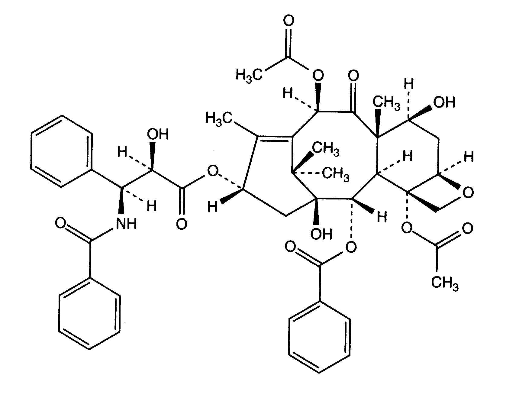
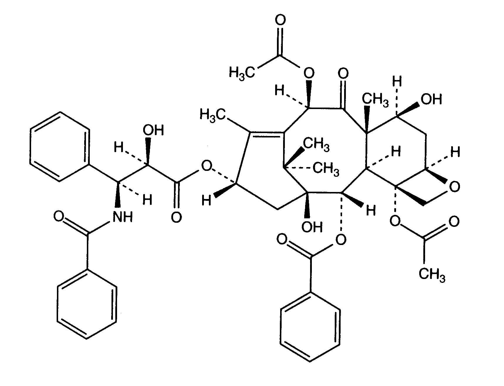
   化学式  

商品名   商品名     

商品名仅供参考, 药品所用的辅料可能依国家或厂商不同有所不同。

Aclipak 马来西亚
Acoexcel 墨西哥
Acupaxil 摩洛哥
Anzatax 伊朗, 土耳其, 埃及, 摩洛哥, 新西蘭, 沙特阿拉伯, 秘鲁, 突尼斯, 阿联酋, 马来西亚
Aritaxel 德国
Cantaxel 印度
Clitaxel 委内瑞拉, 阿根廷
Dalys 阿根廷
Ebetaxel 伊朗, 土耳其, 奥地利, 摩洛哥, 沙特阿拉伯, 突尼斯
Genexol 伊朗, 印度, 埃及
Onxol 美国
Paclinova 阿根廷
Paclitaxin 卢森堡, 巴西, 斯洛文尼亚, 马来西亚
Parexel 厄瓜多尔, 哥伦比亚, 委内瑞拉, 巴西
Paxene 丹麦, 希腊, 波兰, 爱尔兰, 荷兰, 西班牙
Poltaxel 波兰
Ribotax 德国
Taxol 丹麦, 伊朗, 哥伦比亚, 土耳其, 埃及, 奥地利, 委内瑞拉, 巴西, 希腊, 意大利, 摩洛哥, 斯洛文尼亚, 新西蘭, 日本, 波兰, 瑞典, 瑞士, 秘鲁, 荷兰, 葡萄牙, 阿联酋, 马来西亚
Taxomedac 德国
Vitax 土耳其, 巴西, 秘鲁
混合物稳定性   注射液   混合物稳定性 : Paclitaxel     
容器 溶剂 浓度 分子 温度 保存 穩定持續時間 引用文献
玻璃 NaCl 0,9% 0,145 mg/ml
注射液   Paclitaxel   
注射液   Granisetron hydrochloride 0,5 mg/ml
20°C-23°C
4 小时
光 57
A+级
玻璃 葡萄糖5% 0,3 & 1,2 mg/ml
注射液   Paclitaxel   
注射液   Ondansetron hydrochloride 0,03 & 0,3 mg/ml
23°C
4 小时
光 47
A级
玻璃 葡萄糖5% 0,3 & 1,2 mg/ml
注射液   Paclitaxel   
注射液   Ranitidine hydrochloride 0,5 & 2 mg/ml
23°C
4 小时
光 47
A级
玻璃 葡萄糖5% 1,2 mg/ml
注射液   Paclitaxel   
注射液   Ondansetron hydrochloride 0,3 mg/ml
注射液   Ranitidine hydrochloride 2,0 mg/ml
23°C
4 小时
光 47
A级
玻璃 葡萄糖5% 0,3 & 1,2 mg/ml
注射液   Paclitaxel   
注射液   Fluconazole 2 mg/ml
23°C
4 小时
光 151
A级
玻璃 葡萄糖5% 0,62 mg/ml
注射液   Paclitaxel   
注射液   Palonosetron hydrochloride 26,6 µg/ml
25°C
4 小时
无特殊要求 1940
A+级
玻璃 葡萄糖5% 0,6 mg/ml
注射液   Paclitaxel   
注射液   Acetyl L-carnitine 15 mg/ml
25°C
4 小时
3277
A+级
聚烯烃 NaCl 0,9% 0,3 & 1,2 mg/ml
注射液   Paclitaxel   
注射液   Doxorubicin hydrochloride 0,2 mg/ml
23°C
24 小时
光 1286
Joker
聚烯烃 NaCl 0,9% 0,3 & 1,2 mg/ml
注射液   Paclitaxel   
注射液   Carboplatin 2 mg/ml
23°C
24 小时
无特殊要求 872
B+级
聚烯烃 NaCl 0,9% 0,3 & 1,2 mg/ml
注射液   Paclitaxel   
注射液   Doxorubicin hydrochloride 0,2 mg/ml
32°C
24 小时
光 1286
Joker
聚烯烃 NaCl 0,9% 0,3 & 1,2 mg/ml
注射液   Paclitaxel   
注射液   Carboplatin 2 mg/ml
32°C
24 小时
无特殊要求 872
B+级
聚烯烃 NaCl 0,9% 0,3 & 1,2 mg/ml
注射液   Paclitaxel   
注射液   Carboplatin 2 mg/ml
4°C
24 小时
避光 872
B+级
聚烯烃 NaCl 0,9% 0,3 & 1,2 mg/ml
注射液   Paclitaxel   
注射液   Doxorubicin hydrochloride 0,2 mg/ml
4°C
24 小时
避光 1286
Joker
聚烯烃 葡萄糖5% 0,3 & 1,2 mg/ml
注射液   Paclitaxel   
注射液   Doxorubicin hydrochloride 0,2 mg/ml
23°C
24 小时
光 1286
Joker
聚烯烃 葡萄糖5% 0,3 & 1,2 mg/ml
注射液   Paclitaxel   
注射液   Carboplatin 2 mg/ml
23°C
24 小时
无特殊要求 872
B+级
聚烯烃 葡萄糖5% 0,3 & 1,2 mg/ml
注射液   Paclitaxel   
注射液   Doxorubicin hydrochloride 0,2 mg/ml
32°C
24 小时
光 1286
Joker
聚烯烃 葡萄糖5% 0,3 & 1,2 mg/ml
注射液   Paclitaxel   
注射液   Carboplatin 2 mg/ml
32°C
24 小时
无特殊要求 872
B+级
聚烯烃 葡萄糖5% 0,3 & 1,2 mg/ml
注射液   Paclitaxel   
注射液   Carboplatin 2 mg/ml
4°C
24 小时
避光 872
B+级
聚烯烃 葡萄糖5% 0,3 & 1,2 mg/ml
注射液   Paclitaxel   
注射液   Doxorubicin hydrochloride 0,2 mg/ml
4°C
24 小时
避光 1286
Joker
不详 NaCl 0,9% 0,27 mg/ml
注射液   Paclitaxel   
注射液   Topotecan 0,028 mg/ml
20°C-23°C
4 小时
光 1026
C级
不详 葡萄糖5% 0,27 mg/ml
注射液   Paclitaxel   
注射液   Topotecan 0,028 mg/ml
20°C-23°C
4 小时
光 1026
C级

  Mentions Légales