Son güncelleme :
27/04/2026
kanser ilaç   Paclitaxel  
Enjeksiyon
Çözeltilerin stabilitesi Karışımlardaki stabilitesi Stabiliteyi etkileyen faktörler Uyumluluk Uygulama yöntemi Kaynaklar pdf
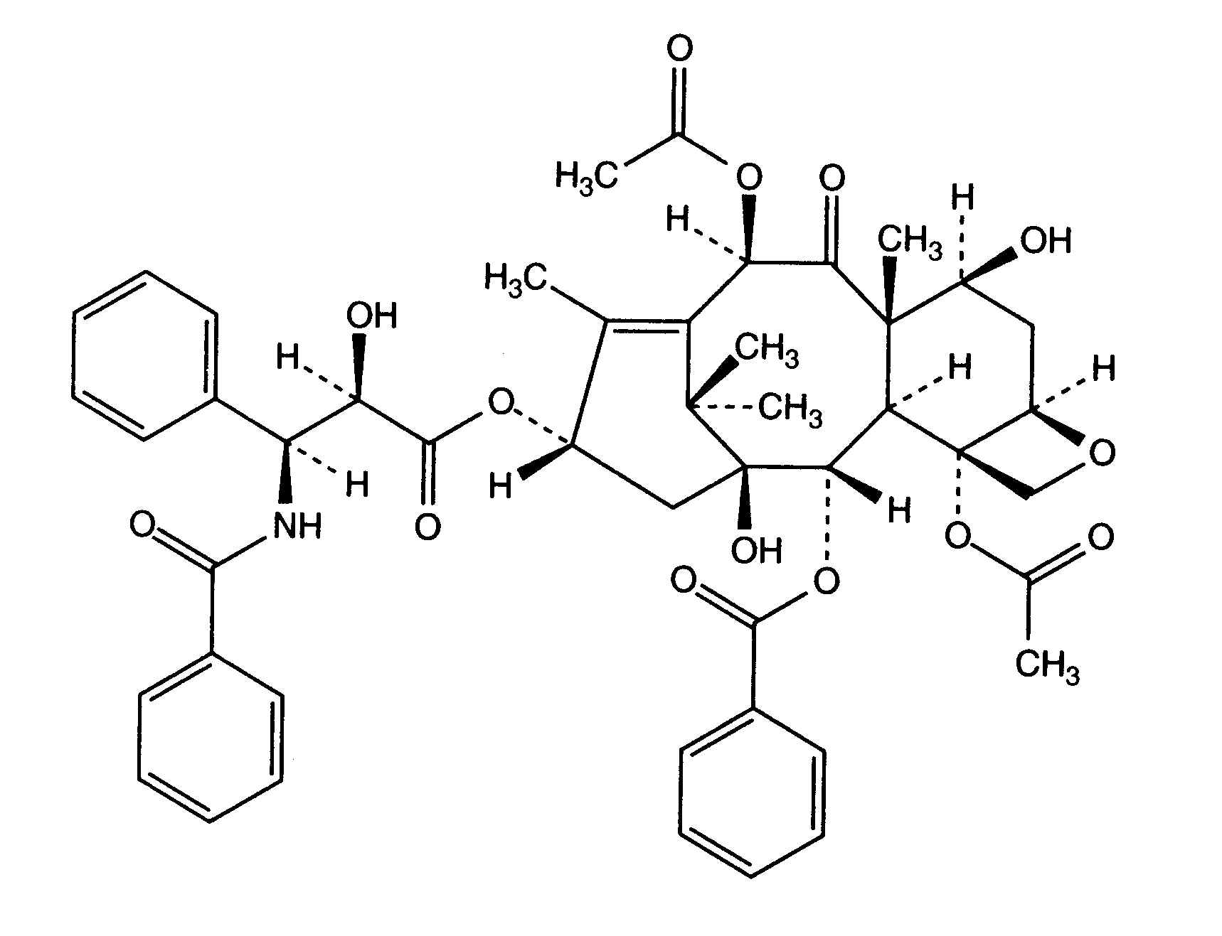
   Kimyasal yapı   

Ticari isim   Ticari isim     

Trade names are indicative and excipients composition can be different depending on the country and manufacturers

Aclipak Malezya
Acoexcel Meksika
Acupaxil Fas
Anzatax Birleşik Arap Emirlikleri, Fas, İran, Malezya, Mısır, Peru, Suudi Arabistan, Tunus, Türkiye, yeni Zelanda
Aritaxel Almanya
Cantaxel Hindistan
Clitaxel Arjantin, Venezuela
Dalys Arjantin
Ebetaxel Avusturya, Fas, İran, Suudi Arabistan, Tunus, Türkiye
Genexol Hindistan, İran, Mısır
Onxol Amerika Birleşik Devletleri
Paclinova Arjantin
Paclitaxin Brezilya, Lüksemburg, Malezya, Slovenya
Parexel Brezilya, Ekvador, Kolombiya, Venezuela
Paxene Danimarka, Hollanda, İrlanda, İspanya, Polonya, Yunanistan
Poltaxel Polonya
Ribotax Almanya
Taxol Avusturya, Birleşik Arap Emirlikleri, Brezilya, Danimarka, Fas, Hollanda, İran, İsveç, İsviçre, İtalya, Japonya, Kolombiya, Malezya, Mısır, Peru, Polonya, Portekiz, Slovenya, Türkiye, Venezuela, yeni Zelanda, Yunanistan
Taxomedac Almanya
Vitax Brezilya, Peru, Türkiye
Karışımlardaki stabilitesi   Enjeksiyon    Karışımlardaki stabilitesi : Paclitaxel     
Saklama kabı Çözücü Konsantrasyon Bileşik Isı Saklama    Stabilite süresi Kaynaklar
Cam Sodyum klorür % 0,9 0,145 mg/ml
Enjeksiyon   Paclitaxel   
Enjeksiyon   Granisetron hydrochloride 0,5 mg/ml
20°C-23°C
4 Zaman
I_ık 57
Kanıt düzeyi A+
Cam Glukoz %5 0,3 & 1,2 mg/ml
Enjeksiyon   Paclitaxel   
Enjeksiyon   Ondansetron hydrochloride 0,03 & 0,3 mg/ml
23°C
4 Zaman
I_ık 47
Kanıt düzeyi A
Cam Glukoz %5 0,3 & 1,2 mg/ml
Enjeksiyon   Paclitaxel   
Enjeksiyon   Ranitidine hydrochloride 0,5 & 2 mg/ml
23°C
4 Zaman
I_ık 47
Kanıt düzeyi A
Cam Glukoz %5 1,2 mg/ml
Enjeksiyon   Paclitaxel   
Enjeksiyon   Ondansetron hydrochloride 0,3 mg/ml
Enjeksiyon   Ranitidine hydrochloride 2,0 mg/ml
23°C
4 Zaman
I_ık 47
Kanıt düzeyi A
Cam Glukoz %5 0,3 & 1,2 mg/ml
Enjeksiyon   Paclitaxel   
Enjeksiyon   Fluconazole 2 mg/ml
23°C
4 Zaman
I_ık 151
Kanıt düzeyi A
Cam Glukoz %5 0,62 mg/ml
Enjeksiyon   Paclitaxel   
Enjeksiyon   Palonosetron hydrochloride 26,6 µg/ml
25°C
4 Zaman
Belirtilmemiş 1940
Kanıt düzeyi A+
Cam Glukoz %5 0,6 mg/ml
Enjeksiyon   Paclitaxel   
Enjeksiyon   Acetyl L-carnitine 15 mg/ml
25°C
4 Zaman
3277
Kanıt düzeyi A+
Poliolefin Sodyum klorür % 0,9 0,3 & 1,2 mg/ml
Enjeksiyon   Paclitaxel   
Enjeksiyon   Doxorubicin hydrochloride 0,2 mg/ml
23°C
24 Zaman
I_ık 1286
Joker
Poliolefin Sodyum klorür % 0,9 0,3 & 1,2 mg/ml
Enjeksiyon   Paclitaxel   
Enjeksiyon   Carboplatin 2 mg/ml
23°C
24 Zaman
Belirtilmemiş 872
Kanıt düzeyi B+
Poliolefin Sodyum klorür % 0,9 0,3 & 1,2 mg/ml
Enjeksiyon   Paclitaxel   
Enjeksiyon   Doxorubicin hydrochloride 0,2 mg/ml
32°C
24 Zaman
I_ık 1286
Joker
Poliolefin Sodyum klorür % 0,9 0,3 & 1,2 mg/ml
Enjeksiyon   Paclitaxel   
Enjeksiyon   Carboplatin 2 mg/ml
32°C
24 Zaman
Belirtilmemiş 872
Kanıt düzeyi B+
Poliolefin Sodyum klorür % 0,9 0,3 & 1,2 mg/ml
Enjeksiyon   Paclitaxel   
Enjeksiyon   Carboplatin 2 mg/ml
4°C
24 Zaman
Işıktan koruyunuz 872
Kanıt düzeyi B+
Poliolefin Sodyum klorür % 0,9 0,3 & 1,2 mg/ml
Enjeksiyon   Paclitaxel   
Enjeksiyon   Doxorubicin hydrochloride 0,2 mg/ml
4°C
24 Zaman
Işıktan koruyunuz 1286
Joker
Poliolefin Glukoz %5 0,3 & 1,2 mg/ml
Enjeksiyon   Paclitaxel   
Enjeksiyon   Doxorubicin hydrochloride 0,2 mg/ml
23°C
24 Zaman
I_ık 1286
Joker
Poliolefin Glukoz %5 0,3 & 1,2 mg/ml
Enjeksiyon   Paclitaxel   
Enjeksiyon   Carboplatin 2 mg/ml
23°C
24 Zaman
Belirtilmemiş 872
Kanıt düzeyi B+
Poliolefin Glukoz %5 0,3 & 1,2 mg/ml
Enjeksiyon   Paclitaxel   
Enjeksiyon   Doxorubicin hydrochloride 0,2 mg/ml
32°C
24 Zaman
I_ık 1286
Joker
Poliolefin Glukoz %5 0,3 & 1,2 mg/ml
Enjeksiyon   Paclitaxel   
Enjeksiyon   Carboplatin 2 mg/ml
32°C
24 Zaman
Belirtilmemiş 872
Kanıt düzeyi B+
Poliolefin Glukoz %5 0,3 & 1,2 mg/ml
Enjeksiyon   Paclitaxel   
Enjeksiyon   Carboplatin 2 mg/ml
4°C
24 Zaman
Işıktan koruyunuz 872
Kanıt düzeyi B+
Poliolefin Glukoz %5 0,3 & 1,2 mg/ml
Enjeksiyon   Paclitaxel   
Enjeksiyon   Doxorubicin hydrochloride 0,2 mg/ml
4°C
24 Zaman
Işıktan koruyunuz 1286
Joker
Belirtilmemiş Sodyum klorür % 0,9 0,27 mg/ml
Enjeksiyon   Paclitaxel   
Enjeksiyon   Topotecan 0,028 mg/ml
20°C-23°C
4 Zaman
I_ık 1026
Kanıt düzeyi C
Belirtilmemiş Glukoz %5 0,27 mg/ml
Enjeksiyon   Paclitaxel   
Enjeksiyon   Topotecan 0,028 mg/ml
20°C-23°C
4 Zaman
I_ık 1026
Kanıt düzeyi C

  Mentions Légales