最新更新 :
27/04/2026
細胞増殖抑制薬   Paclitaxel  
注射薬
溶媒内の安定性 混合時の安定性 安定性に影響する因子 互換性 投与経路 引用文献 PDF
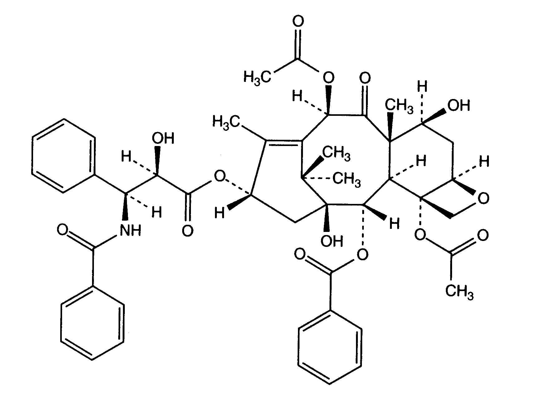
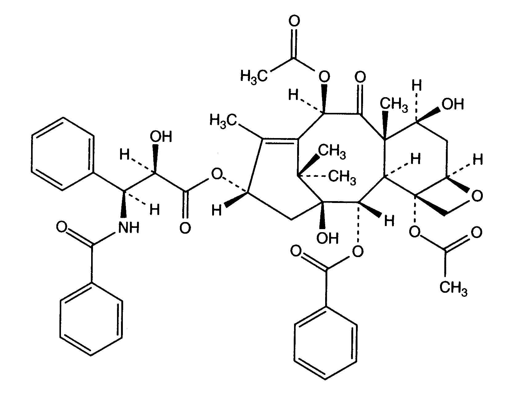
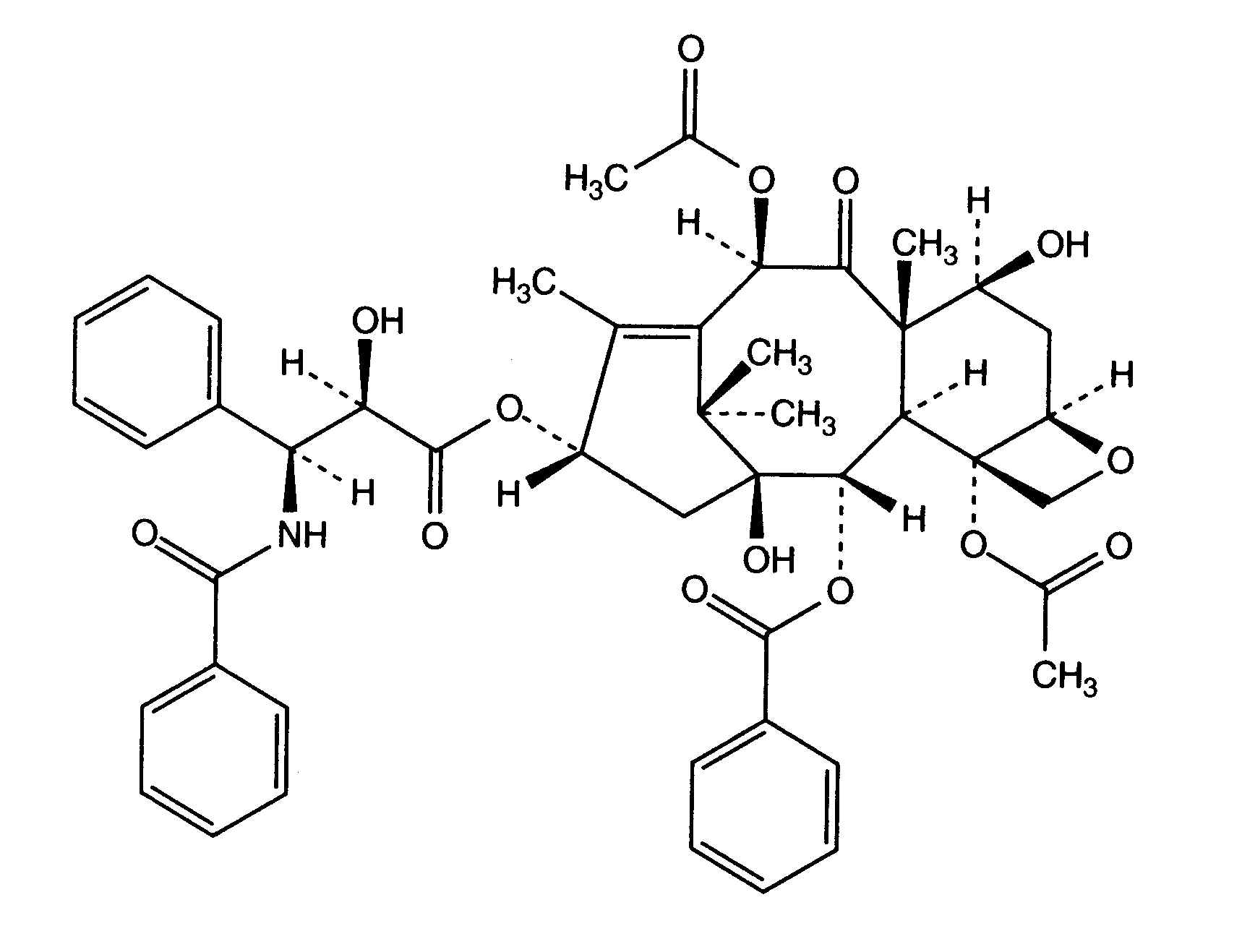
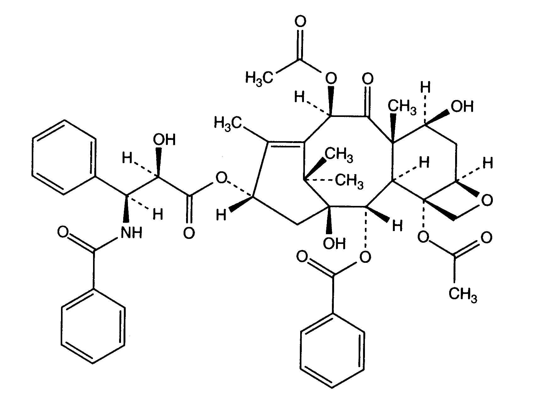
   化学構造  

商品名   商品名     

商品名、賦形剤は国、製薬会社ごとに異なることがあります

Aclipak マレーシア
Acoexcel メキシコ
Acupaxil モロッコ
Anzatax アラブ首長国連邦, イラン, エジプト, サウジアラビア, チュニジア, トルコ, ニュージーランド, ペルー, マレーシア, モロッコ
Aritaxel ドイツ
Cantaxel インド
Clitaxel アルゼンチン, ベネズエラ
Dalys アルゼンチン
Ebetaxel イラン, オーストリア, サウジアラビア, チュニジア, トルコ, モロッコ
Genexol イラン, インド, エジプト
Onxol アメリカ
Paclinova アルゼンチン
Paclitaxin スロベニア, ブラジル, マレーシア, ルクセンブルグ
Parexel エクアドル, コロンビア, ブラジル, ベネズエラ
Paxene アイルランド, オランダ, ギリシア, スペイン, デンマーク, ポーランド
Poltaxel ポーランド
Ribotax ドイツ
Taxol アラブ首長国連邦, イタリア, イラン, エジプト, オランダ, オーストリア, ギリシア, コロンビア, スイス, スウェーデン, スロベニア, デンマーク, トルコ, ニュージーランド, ブラジル, ベネズエラ, ペルー, ポルトガル, ポーランド, マレーシア, モロッコ, 日本
Taxomedac ドイツ
Vitax トルコ, ブラジル, ペルー
混合時の安定性   注射薬   混合時の安定性 : Paclitaxel     
容器 溶媒 濃度 化合物 温度 保管 安定期間 引用文献
ガラス NaCl 0,9% 0,145 mg/ml
注射薬   Paclitaxel   
注射薬   Granisetron hydrochloride 0,5 mg/ml
20°C-23°C
4 時間
光 57
エビデンスレベル A+
ガラス グルコース5% 0,3 & 1,2 mg/ml
注射薬   Paclitaxel   
注射薬   Ondansetron hydrochloride 0,03 & 0,3 mg/ml
23°C
4 時間
光 47
エビデンスレベル A
ガラス グルコース5% 0,3 & 1,2 mg/ml
注射薬   Paclitaxel   
注射薬   Ranitidine hydrochloride 0,5 & 2 mg/ml
23°C
4 時間
光 47
エビデンスレベル A
ガラス グルコース5% 1,2 mg/ml
注射薬   Paclitaxel   
注射薬   Ondansetron hydrochloride 0,3 mg/ml
注射薬   Ranitidine hydrochloride 2,0 mg/ml
23°C
4 時間
光 47
エビデンスレベル A
ガラス グルコース5% 0,3 & 1,2 mg/ml
注射薬   Paclitaxel   
注射薬   Fluconazole 2 mg/ml
23°C
4 時間
光 151
エビデンスレベル A
ガラス グルコース5% 0,62 mg/ml
注射薬   Paclitaxel   
注射薬   Palonosetron hydrochloride 26,6 µg/ml
25°C
4 時間
特記なし 1940
エビデンスレベル A+
ガラス グルコース5% 0,6 mg/ml
注射薬   Paclitaxel   
注射薬   Acetyl L-carnitine 15 mg/ml
25°C
4 時間
3277
エビデンスレベル A+
ポリオレフィン NaCl 0,9% 0,3 & 1,2 mg/ml
注射薬   Paclitaxel   
注射薬   Doxorubicin hydrochloride 0,2 mg/ml
23°C
24 時間
光 1286
Joker
ポリオレフィン NaCl 0,9% 0,3 & 1,2 mg/ml
注射薬   Paclitaxel   
注射薬   Carboplatin 2 mg/ml
23°C
24 時間
特記なし 872
エビデンスレベル B+
ポリオレフィン NaCl 0,9% 0,3 & 1,2 mg/ml
注射薬   Paclitaxel   
注射薬   Doxorubicin hydrochloride 0,2 mg/ml
32°C
24 時間
光 1286
Joker
ポリオレフィン NaCl 0,9% 0,3 & 1,2 mg/ml
注射薬   Paclitaxel   
注射薬   Carboplatin 2 mg/ml
32°C
24 時間
特記なし 872
エビデンスレベル B+
ポリオレフィン NaCl 0,9% 0,3 & 1,2 mg/ml
注射薬   Paclitaxel   
注射薬   Carboplatin 2 mg/ml
4°C
24 時間
遮光 872
エビデンスレベル B+
ポリオレフィン NaCl 0,9% 0,3 & 1,2 mg/ml
注射薬   Paclitaxel   
注射薬   Doxorubicin hydrochloride 0,2 mg/ml
4°C
24 時間
遮光 1286
Joker
ポリオレフィン グルコース5% 0,3 & 1,2 mg/ml
注射薬   Paclitaxel   
注射薬   Doxorubicin hydrochloride 0,2 mg/ml
23°C
24 時間
光 1286
Joker
ポリオレフィン グルコース5% 0,3 & 1,2 mg/ml
注射薬   Paclitaxel   
注射薬   Carboplatin 2 mg/ml
23°C
24 時間
特記なし 872
エビデンスレベル B+
ポリオレフィン グルコース5% 0,3 & 1,2 mg/ml
注射薬   Paclitaxel   
注射薬   Doxorubicin hydrochloride 0,2 mg/ml
32°C
24 時間
光 1286
Joker
ポリオレフィン グルコース5% 0,3 & 1,2 mg/ml
注射薬   Paclitaxel   
注射薬   Carboplatin 2 mg/ml
32°C
24 時間
特記なし 872
エビデンスレベル B+
ポリオレフィン グルコース5% 0,3 & 1,2 mg/ml
注射薬   Paclitaxel   
注射薬   Carboplatin 2 mg/ml
4°C
24 時間
遮光 872
エビデンスレベル B+
ポリオレフィン グルコース5% 0,3 & 1,2 mg/ml
注射薬   Paclitaxel   
注射薬   Doxorubicin hydrochloride 0,2 mg/ml
4°C
24 時間
遮光 1286
Joker
指定なし NaCl 0,9% 0,27 mg/ml
注射薬   Paclitaxel   
注射薬   Topotecan 0,028 mg/ml
20°C-23°C
4 時間
光 1026
エビデンスレベル C
指定なし グルコース5% 0,27 mg/ml
注射薬   Paclitaxel   
注射薬   Topotecan 0,028 mg/ml
20°C-23°C
4 時間
光 1026
エビデンスレベル C

  Mentions Légales