Última actualização :
27/04/2026
droga contra o câncer   Paclitaxel  
injetável
Estabilidade em soluções simples Estabilidade em misturas Factores que afectam a sua estabilidade Compatibilidade Método de administração Bibliografía pdf
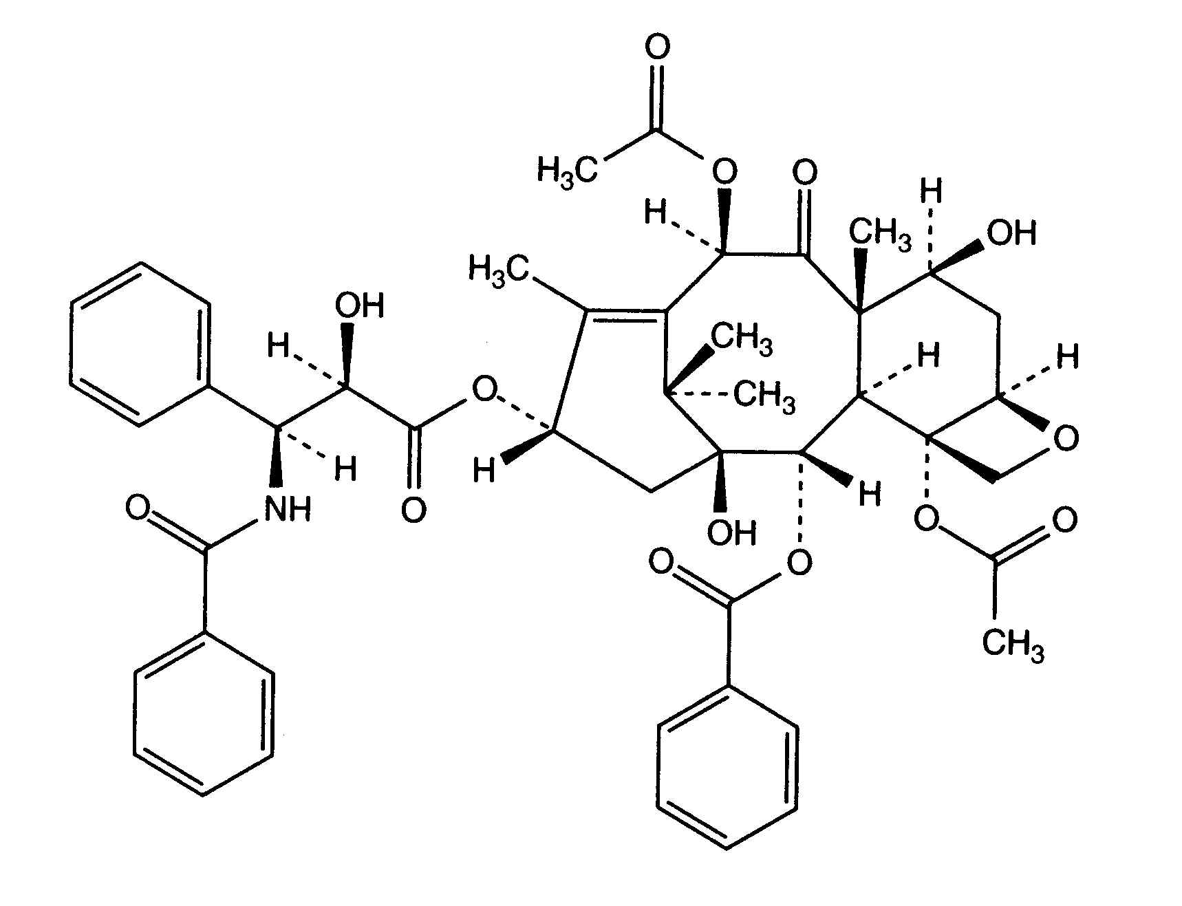
   estrutura química  

Nomes comerciais nos diversos países   Nomes comerciais nos diversos países     

OS NOMES COMERCIAIS SÃO INDICATIVOS E OS EXCIPIENTES DA FORMULAÇÃO PODEM SER DIFERENTES CONFORME O PAÍS E FABRICANTE.

Aclipak Malásia
Acoexcel México
Acupaxil Marrocos
Anzatax Arábia Saudita, Egipto, Emirados Árabes Unidos, Irã, Malásia, Marrocos, nova Zelândia, Peru, Tunísia, Turquia
Aritaxel Alemanha
Cantaxel Índia
Clitaxel Argentina, Venezuela
Dalys Argentina
Ebetaxel Arábia Saudita, Austria, Irã, Marrocos, Tunísia, Turquia
Genexol Egipto, Índia, Irã
Onxol Estados Unidos de América
Paclinova Argentina
Paclitaxin Brasil, Eslovenia, Luxemburgo, Malásia
Parexel Brasil, Colômbia, Equator, Venezuela
Paxene Dinamarca, Espanha, Grècia, Irlanda, Países Baixos, Polonia
Poltaxel Polonia
Ribotax Alemanha
Taxol Austria, Brasil, Colômbia, Dinamarca, Egipto, Emirados Árabes Unidos, Eslovenia, Grècia, Irã, Itália, Japón, Malásia, Marrocos, nova Zelândia, Países Baixos, Peru, Polonia, Portugal, Suècia, Suicia, Turquia, Venezuela
Taxomedac Alemanha
Vitax Brasil, Peru, Turquia
Estabilidade em misturas   injetável   Estabilidade em misturas : Paclitaxel     
Embalagem Solvente concentração molécula temperatura conservação Duração da estabilidade Bibliografia
vidro cloreto de sódio 0,9% 0,145 mg/ml
injetável   Paclitaxel   
injetável   Granisetron hydrochloride 0,5 mg/ml
20°C-23°C
4 hora
luz 57
Nível de evidência A+
vidro Glucose 5% 0,3 & 1,2 mg/ml
injetável   Paclitaxel   
injetável   Ondansetron hydrochloride 0,03 & 0,3 mg/ml
23°C
4 hora
luz 47
Nível de evidência A
vidro Glucose 5% 0,3 & 1,2 mg/ml
injetável   Paclitaxel   
injetável   Ranitidine hydrochloride 0,5 & 2 mg/ml
23°C
4 hora
luz 47
Nível de evidência A
vidro Glucose 5% 1,2 mg/ml
injetável   Paclitaxel   
injetável   Ondansetron hydrochloride 0,3 mg/ml
injetável   Ranitidine hydrochloride 2,0 mg/ml
23°C
4 hora
luz 47
Nível de evidência A
vidro Glucose 5% 0,3 & 1,2 mg/ml
injetável   Paclitaxel   
injetável   Fluconazole 2 mg/ml
23°C
4 hora
luz 151
Nível de evidência A
vidro Glucose 5% 0,62 mg/ml
injetável   Paclitaxel   
injetável   Palonosetron hydrochloride 26,6 µg/ml
25°C
4 hora
no especificado 1940
Nível de evidência A+
vidro Glucose 5% 0,6 mg/ml
injetável   Paclitaxel   
injetável   Acetyl L-carnitine 15 mg/ml
25°C
4 hora
3277
Nível de evidência A+
Poliolefina cloreto de sódio 0,9% 0,3 & 1,2 mg/ml
injetável   Paclitaxel   
injetável   Doxorubicin hydrochloride 0,2 mg/ml
23°C
24 hora
luz 1286
Joker
Poliolefina cloreto de sódio 0,9% 0,3 & 1,2 mg/ml
injetável   Paclitaxel   
injetável   Carboplatin 2 mg/ml
23°C
24 hora
no especificado 872
Nível de evidência B+
Poliolefina cloreto de sódio 0,9% 0,3 & 1,2 mg/ml
injetável   Paclitaxel   
injetável   Doxorubicin hydrochloride 0,2 mg/ml
32°C
24 hora
luz 1286
Joker
Poliolefina cloreto de sódio 0,9% 0,3 & 1,2 mg/ml
injetável   Paclitaxel   
injetável   Carboplatin 2 mg/ml
32°C
24 hora
no especificado 872
Nível de evidência B+
Poliolefina cloreto de sódio 0,9% 0,3 & 1,2 mg/ml
injetável   Paclitaxel   
injetável   Carboplatin 2 mg/ml
4°C
24 hora
ao abrigo da luz 872
Nível de evidência B+
Poliolefina cloreto de sódio 0,9% 0,3 & 1,2 mg/ml
injetável   Paclitaxel   
injetável   Doxorubicin hydrochloride 0,2 mg/ml
4°C
24 hora
ao abrigo da luz 1286
Joker
Poliolefina Glucose 5% 0,3 & 1,2 mg/ml
injetável   Paclitaxel   
injetável   Doxorubicin hydrochloride 0,2 mg/ml
23°C
24 hora
luz 1286
Joker
Poliolefina Glucose 5% 0,3 & 1,2 mg/ml
injetável   Paclitaxel   
injetável   Carboplatin 2 mg/ml
23°C
24 hora
no especificado 872
Nível de evidência B+
Poliolefina Glucose 5% 0,3 & 1,2 mg/ml
injetável   Paclitaxel   
injetável   Doxorubicin hydrochloride 0,2 mg/ml
32°C
24 hora
luz 1286
Joker
Poliolefina Glucose 5% 0,3 & 1,2 mg/ml
injetável   Paclitaxel   
injetável   Carboplatin 2 mg/ml
32°C
24 hora
no especificado 872
Nível de evidência B+
Poliolefina Glucose 5% 0,3 & 1,2 mg/ml
injetável   Paclitaxel   
injetável   Carboplatin 2 mg/ml
4°C
24 hora
ao abrigo da luz 872
Nível de evidência B+
Poliolefina Glucose 5% 0,3 & 1,2 mg/ml
injetável   Paclitaxel   
injetável   Doxorubicin hydrochloride 0,2 mg/ml
4°C
24 hora
ao abrigo da luz 1286
Joker
no especificado cloreto de sódio 0,9% 0,27 mg/ml
injetável   Paclitaxel   
injetável   Topotecan 0,028 mg/ml
20°C-23°C
4 hora
luz 1026
Nível de evidência C
no especificado Glucose 5% 0,27 mg/ml
injetável   Paclitaxel   
injetável   Topotecan 0,028 mg/ml
20°C-23°C
4 hora
luz 1026
Nível de evidência C

  Mentions Légales