Senaste uppdateringen :
27/04/2026
cancerläkemedel   Paclitaxel  
injektion
Lösningars stabilitet Stabilitet i blandningar Faktorer som påverkar stabiliteten Kompatibilitet Administreringssätt Hänvisningar pdf
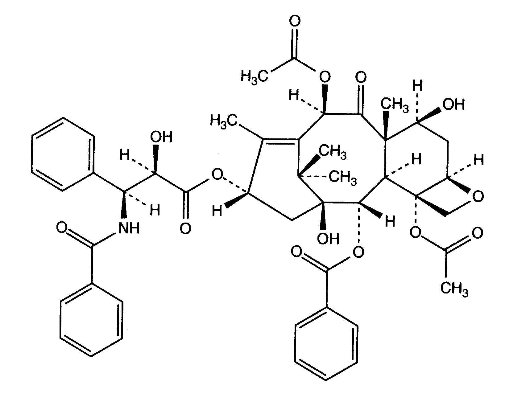
   Molekylstruktur  

Varunamn   Varunamn     

Angivna handelsnamn på läkemedel är enbart vägledande då formulering inklusive hjälpämnen kan variera mellan länder och tillverkare

Aclipak Malaysia
Acoexcel Mexiko
Acupaxil Marocko
Anzatax Egypten, Förenade Arabemiraten, Iran, Malaysia, Marocko, nya Zeeland, Peru, Saudi-Arabien, Tunisien, Turkiet
Aritaxel Tyskland
Cantaxel Indien
Clitaxel Argentina, Venezuela
Dalys Argentina
Ebetaxel Iran, Marocko, Österrike, Saudi-Arabien, Tunisien, Turkiet
Genexol Egypten, Indien, Iran
Onxol Förenta Staterna
Paclinova Argentina
Paclitaxin Brasilien, Luxemburg, Malaysia, Slovenien
Parexel Brasilien, Colombia, Ecuador, Venezuela
Paxene Danmark, Grekland, Irland, Nederländerna, Polen, Spanien
Poltaxel Polen
Ribotax Tyskland
Taxol Brasilien, Colombia, Danmark, Egypten, Förenade Arabemiraten, Grekland, Iran, Italien, Japan, Malaysia, Marocko, Nederländerna, nya Zeeland, Österrike, Peru, Polen, Portugal, Schweiz, Slovenien, Sverige, Turkiet, Venezuela
Taxomedac Tyskland
Vitax Brasilien, Peru, Turkiet
Stabilitet i blandningar   injektion   Stabilitet i blandningar : Paclitaxel     
Behållare Lösningsmedel Koncentration Substans Temperatur Förvaring Stabilitets varaktighet Hänvisningar
Glas Natriumklorid 0,9 % 0,145 mg/ml
injektion   Paclitaxel   
injektion   Granisetron hydrochloride 0,5 mg/ml
20°C-23°C
4 Timma
Ljus 57
Evidensnivå A+
Glas Glukos 5 % 0,3 & 1,2 mg/ml
injektion   Paclitaxel   
injektion   Ondansetron hydrochloride 0,03 & 0,3 mg/ml
23°C
4 Timma
Ljus 47
Evidensnivå A
Glas Glukos 5 % 0,3 & 1,2 mg/ml
injektion   Paclitaxel   
injektion   Ranitidine hydrochloride 0,5 & 2 mg/ml
23°C
4 Timma
Ljus 47
Evidensnivå A
Glas Glukos 5 % 1,2 mg/ml
injektion   Paclitaxel   
injektion   Ondansetron hydrochloride 0,3 mg/ml
injektion   Ranitidine hydrochloride 2,0 mg/ml
23°C
4 Timma
Ljus 47
Evidensnivå A
Glas Glukos 5 % 0,3 & 1,2 mg/ml
injektion   Paclitaxel   
injektion   Fluconazole 2 mg/ml
23°C
4 Timma
Ljus 151
Evidensnivå A
Glas Glukos 5 % 0,62 mg/ml
injektion   Paclitaxel   
injektion   Palonosetron hydrochloride 26,6 µg/ml
25°C
4 Timma
Ej angiven 1940
Evidensnivå A+
Glas Glukos 5 % 0,6 mg/ml
injektion   Paclitaxel   
injektion   Acetyl L-carnitine 15 mg/ml
25°C
4 Timma
3277
Evidensnivå A+
Polyolefin Natriumklorid 0,9 % 0,3 & 1,2 mg/ml
injektion   Paclitaxel   
injektion   Doxorubicin hydrochloride 0,2 mg/ml
23°C
24 Timma
Ljus 1286
Joker
Polyolefin Natriumklorid 0,9 % 0,3 & 1,2 mg/ml
injektion   Paclitaxel   
injektion   Carboplatin 2 mg/ml
23°C
24 Timma
Ej angiven 872
Evidensnivå B+
Polyolefin Natriumklorid 0,9 % 0,3 & 1,2 mg/ml
injektion   Paclitaxel   
injektion   Doxorubicin hydrochloride 0,2 mg/ml
32°C
24 Timma
Ljus 1286
Joker
Polyolefin Natriumklorid 0,9 % 0,3 & 1,2 mg/ml
injektion   Paclitaxel   
injektion   Carboplatin 2 mg/ml
32°C
24 Timma
Ej angiven 872
Evidensnivå B+
Polyolefin Natriumklorid 0,9 % 0,3 & 1,2 mg/ml
injektion   Paclitaxel   
injektion   Carboplatin 2 mg/ml
4°C
24 Timma
Skyddas från ljus 872
Evidensnivå B+
Polyolefin Natriumklorid 0,9 % 0,3 & 1,2 mg/ml
injektion   Paclitaxel   
injektion   Doxorubicin hydrochloride 0,2 mg/ml
4°C
24 Timma
Skyddas från ljus 1286
Joker
Polyolefin Glukos 5 % 0,3 & 1,2 mg/ml
injektion   Paclitaxel   
injektion   Doxorubicin hydrochloride 0,2 mg/ml
23°C
24 Timma
Ljus 1286
Joker
Polyolefin Glukos 5 % 0,3 & 1,2 mg/ml
injektion   Paclitaxel   
injektion   Carboplatin 2 mg/ml
23°C
24 Timma
Ej angiven 872
Evidensnivå B+
Polyolefin Glukos 5 % 0,3 & 1,2 mg/ml
injektion   Paclitaxel   
injektion   Doxorubicin hydrochloride 0,2 mg/ml
32°C
24 Timma
Ljus 1286
Joker
Polyolefin Glukos 5 % 0,3 & 1,2 mg/ml
injektion   Paclitaxel   
injektion   Carboplatin 2 mg/ml
32°C
24 Timma
Ej angiven 872
Evidensnivå B+
Polyolefin Glukos 5 % 0,3 & 1,2 mg/ml
injektion   Paclitaxel   
injektion   Carboplatin 2 mg/ml
4°C
24 Timma
Skyddas från ljus 872
Evidensnivå B+
Polyolefin Glukos 5 % 0,3 & 1,2 mg/ml
injektion   Paclitaxel   
injektion   Doxorubicin hydrochloride 0,2 mg/ml
4°C
24 Timma
Skyddas från ljus 1286
Joker
Ej angiven Natriumklorid 0,9 % 0,27 mg/ml
injektion   Paclitaxel   
injektion   Topotecan 0,028 mg/ml
20°C-23°C
4 Timma
Ljus 1026
Evidensnivå C
Ej angiven Glukos 5 % 0,27 mg/ml
injektion   Paclitaxel   
injektion   Topotecan 0,028 mg/ml
20°C-23°C
4 Timma
Ljus 1026
Evidensnivå C

  Mentions Légales