Ostatnia aktualizacja :
27/04/2026
Lek cytostatyk   Paclitaxel  
Injekcje
Trwałość roztworów Trwałość w mieszaninie Czynnik wpływający na trwałość Zgodność Sposób podania Bibliografia pdf
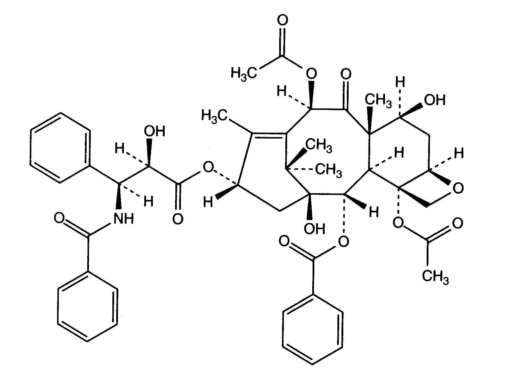
   Struktura chemiczna  

Nazwa handlowa   Nazwa handlowa     

Trade names are indicative and excipients composition can be different depending on the country and manufacturers

Aclipak Malezja
Acoexcel Meksyk
Acupaxil Maroko
Anzatax Arabia Saudyjska, Egipt, Iran, Malezja, Maroko, nowa Zelandia, Peru, Tunisie, Turcja, Zjednoczone Emiraty Arabskie
Aritaxel Niemcy
Cantaxel Indie
Clitaxel Argentyna, Wenezuela
Dalys Argentyna
Ebetaxel Arabia Saudyjska, Austria, Iran, Maroko, Tunisie, Turcja
Genexol Egipt, Indie, Iran
Onxol Stany Zjednoczone Ameryki
Paclinova Argentyna
Paclitaxin Brazylia, Luksemburg, Malezja, Słowenia
Parexel Brazylia, Ekwador, KolumbiaKolumbia, Wenezuela
Paxene Dania, Grecja, Hiszpania, Holandia, Irlandia, Polska
Poltaxel Polska
Ribotax Niemcy
Taxol Austria, Brazylia, Dania, Egipt, Grecja, Holandia, Iran, Japonia, KolumbiaKolumbia, Malezja, Maroko, nowa Zelandia, Peru, Polska, Portugalia, Szwajcaria, Szwecja, Słowenia, Turcja, Wenezuela, Włochy, Zjednoczone Emiraty Arabskie
Taxomedac Niemcy
Vitax Brazylia, Peru, Turcja
Trwałość w mieszaninie   Injekcje   Trwałość w mieszaninie : Paclitaxel     
Pojemnik Rozpuszczalnik Stężenie Związek Temperatura Przechowywanie Czas trwania stabilności Bibliografia
Szkło Chlorek sodu 0,9% 0,145 mg/ml
Injekcje   Paclitaxel   
Injekcje   Granisetron hydrochloride 0,5 mg/ml
20°C-23°C
4 Godzina
światło 57
Poziom wiarygodności A+
Szkło Glukoza 5% 0,3 & 1,2 mg/ml
Injekcje   Paclitaxel   
Injekcje   Ondansetron hydrochloride 0,03 & 0,3 mg/ml
23°C
4 Godzina
światło 47
Poziom wiarygodności A
Szkło Glukoza 5% 0,3 & 1,2 mg/ml
Injekcje   Paclitaxel   
Injekcje   Ranitidine hydrochloride 0,5 & 2 mg/ml
23°C
4 Godzina
światło 47
Poziom wiarygodności A
Szkło Glukoza 5% 1,2 mg/ml
Injekcje   Paclitaxel   
Injekcje   Ondansetron hydrochloride 0,3 mg/ml
Injekcje   Ranitidine hydrochloride 2,0 mg/ml
23°C
4 Godzina
światło 47
Poziom wiarygodności A
Szkło Glukoza 5% 0,3 & 1,2 mg/ml
Injekcje   Paclitaxel   
Injekcje   Fluconazole 2 mg/ml
23°C
4 Godzina
światło 151
Poziom wiarygodności A
Szkło Glukoza 5% 0,62 mg/ml
Injekcje   Paclitaxel   
Injekcje   Palonosetron hydrochloride 26,6 µg/ml
25°C
4 Godzina
Nie wyszczególniony 1940
Poziom wiarygodności A+
Szkło Glukoza 5% 0,6 mg/ml
Injekcje   Paclitaxel   
Injekcje   Acetyl L-carnitine 15 mg/ml
25°C
4 Godzina
3277
Poziom wiarygodności A+
Poliolefina Chlorek sodu 0,9% 0,3 & 1,2 mg/ml
Injekcje   Paclitaxel   
Injekcje   Doxorubicin hydrochloride 0,2 mg/ml
23°C
24 Godzina
światło 1286
Joker
Poliolefina Chlorek sodu 0,9% 0,3 & 1,2 mg/ml
Injekcje   Paclitaxel   
Injekcje   Carboplatin 2 mg/ml
23°C
24 Godzina
Nie wyszczególniony 872
Poziom wiarygodności B+
Poliolefina Chlorek sodu 0,9% 0,3 & 1,2 mg/ml
Injekcje   Paclitaxel   
Injekcje   Doxorubicin hydrochloride 0,2 mg/ml
32°C
24 Godzina
światło 1286
Joker
Poliolefina Chlorek sodu 0,9% 0,3 & 1,2 mg/ml
Injekcje   Paclitaxel   
Injekcje   Carboplatin 2 mg/ml
32°C
24 Godzina
Nie wyszczególniony 872
Poziom wiarygodności B+
Poliolefina Chlorek sodu 0,9% 0,3 & 1,2 mg/ml
Injekcje   Paclitaxel   
Injekcje   Carboplatin 2 mg/ml
4°C
24 Godzina
Chronić od światła 872
Poziom wiarygodności B+
Poliolefina Chlorek sodu 0,9% 0,3 & 1,2 mg/ml
Injekcje   Paclitaxel   
Injekcje   Doxorubicin hydrochloride 0,2 mg/ml
4°C
24 Godzina
Chronić od światła 1286
Joker
Poliolefina Glukoza 5% 0,3 & 1,2 mg/ml
Injekcje   Paclitaxel   
Injekcje   Doxorubicin hydrochloride 0,2 mg/ml
23°C
24 Godzina
światło 1286
Joker
Poliolefina Glukoza 5% 0,3 & 1,2 mg/ml
Injekcje   Paclitaxel   
Injekcje   Carboplatin 2 mg/ml
23°C
24 Godzina
Nie wyszczególniony 872
Poziom wiarygodności B+
Poliolefina Glukoza 5% 0,3 & 1,2 mg/ml
Injekcje   Paclitaxel   
Injekcje   Doxorubicin hydrochloride 0,2 mg/ml
32°C
24 Godzina
światło 1286
Joker
Poliolefina Glukoza 5% 0,3 & 1,2 mg/ml
Injekcje   Paclitaxel   
Injekcje   Carboplatin 2 mg/ml
32°C
24 Godzina
Nie wyszczególniony 872
Poziom wiarygodności B+
Poliolefina Glukoza 5% 0,3 & 1,2 mg/ml
Injekcje   Paclitaxel   
Injekcje   Carboplatin 2 mg/ml
4°C
24 Godzina
Chronić od światła 872
Poziom wiarygodności B+
Poliolefina Glukoza 5% 0,3 & 1,2 mg/ml
Injekcje   Paclitaxel   
Injekcje   Doxorubicin hydrochloride 0,2 mg/ml
4°C
24 Godzina
Chronić od światła 1286
Joker
Brak informacji Chlorek sodu 0,9% 0,27 mg/ml
Injekcje   Paclitaxel   
Injekcje   Topotecan 0,028 mg/ml
20°C-23°C
4 Godzina
światło 1026
Poziom wiarygodności C
Brak informacji Glukoza 5% 0,27 mg/ml
Injekcje   Paclitaxel   
Injekcje   Topotecan 0,028 mg/ml
20°C-23°C
4 Godzina
światło 1026
Poziom wiarygodności C

  Mentions Légales