zadnja posodobitev :
27/04/2026
rak drog   Paclitaxel  
Brizgalka
Stabilnost raztopine Stabilnost mešanice Faktorji, ki vplivajo na stabilnost Kompatibilnost način aplikacije Viri pdf
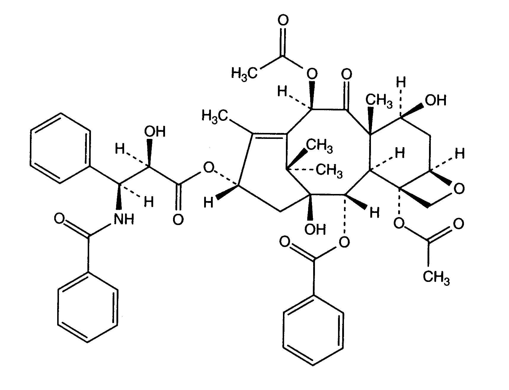
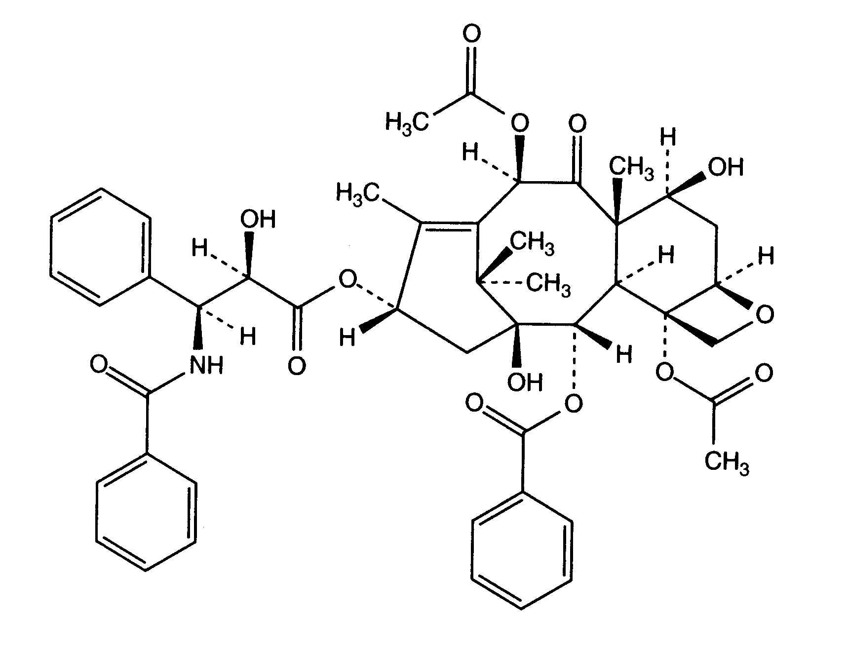
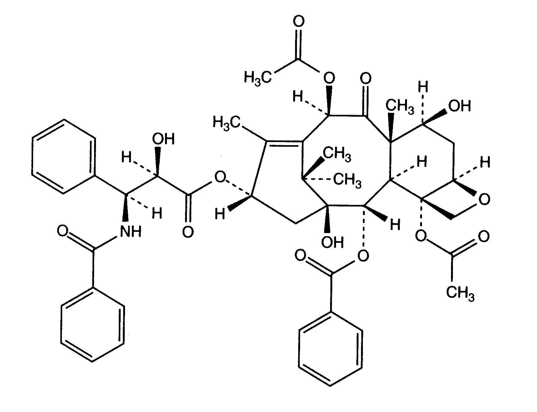
   Kemična formula  

Lastniško ime   Lastniško ime     

Sestava pomožnih snovi je med paralelami lahko različna

Aclipak Malezija
Acoexcel Mehika
Acupaxil Maroko
Anzatax Egipt, Iran, Malezija, Maroko, nova Zelandija, Peru, Savdska Arabija, Tunizija, Turčija, Združeni arabski emirati
Aritaxel Nemčija
Cantaxel Indija
Clitaxel Argentina, Venezuela
Dalys Argentina
Ebetaxel Avstrija, Iran, Maroko, Savdska Arabija, Tunizija, Turčija
Genexol Egipt, Indija, Iran
Onxol Združene države Amerike
Paclinova Argentina
Paclitaxin Brazilija, Luksemburg, Malezija, Slovenija
Parexel Brazilija, Ekvador, Kolumbija, Venezuela
Paxene Danska, Grčija, Irska, Nizozemska, Poljska, Španija
Poltaxel Poljska
Ribotax Nemčija
Taxol Avstrija, Brazilija, Danska, Egipt, Grčija, Iran, Italija, Japonska, Kolumbija, Malezija, Maroko, Nizozemska, nova Zelandija, Peru, Poljska, Portugalska, Slovenija, Švedska, Švica, Turčija, Venezuela, Združeni arabski emirati
Taxomedac Nemčija
Vitax Brazilija, Peru, Turčija
Stabilnost mešanice   Brizgalka   Stabilnost mešanice : Paclitaxel     
Vsebnik Topilo Koncentracija Sestava Temperatura Shranjevanje Trajanje stabilnosti Viri
Steklo Natrijev klorid 0,9% 0,145 mg/ml
Brizgalka   Paclitaxel   
Brizgalka   Granisetron hydrochloride 0,5 mg/ml
20°C-23°C
4 čas
Svetloba 57
 Stopnja dokaza A+
Steklo Glukoza 5% 0,3 & 1,2 mg/ml
Brizgalka   Paclitaxel   
Brizgalka   Ondansetron hydrochloride 0,03 & 0,3 mg/ml
23°C
4 čas
Svetloba 47
 Stopnja dokaza A
Steklo Glukoza 5% 0,3 & 1,2 mg/ml
Brizgalka   Paclitaxel   
Brizgalka   Ranitidine hydrochloride 0,5 & 2 mg/ml
23°C
4 čas
Svetloba 47
 Stopnja dokaza A
Steklo Glukoza 5% 1,2 mg/ml
Brizgalka   Paclitaxel   
Brizgalka   Ondansetron hydrochloride 0,3 mg/ml
Brizgalka   Ranitidine hydrochloride 2,0 mg/ml
23°C
4 čas
Svetloba 47
 Stopnja dokaza A
Steklo Glukoza 5% 0,3 & 1,2 mg/ml
Brizgalka   Paclitaxel   
Brizgalka   Fluconazole 2 mg/ml
23°C
4 čas
Svetloba 151
 Stopnja dokaza A
Steklo Glukoza 5% 0,62 mg/ml
Brizgalka   Paclitaxel   
Brizgalka   Palonosetron hydrochloride 26,6 µg/ml
25°C
4 čas
Nedoločeno 1940
 Stopnja dokaza A+
Steklo Glukoza 5% 0,6 mg/ml
Brizgalka   Paclitaxel   
Brizgalka   Acetyl L-carnitine 15 mg/ml
25°C
4 čas
3277
 Stopnja dokaza A+
Poliolefin Natrijev klorid 0,9% 0,3 & 1,2 mg/ml
Brizgalka   Paclitaxel   
Brizgalka   Doxorubicin hydrochloride 0,2 mg/ml
23°C
24 čas
Svetloba 1286
Joker
Poliolefin Natrijev klorid 0,9% 0,3 & 1,2 mg/ml
Brizgalka   Paclitaxel   
Brizgalka   Carboplatin 2 mg/ml
23°C
24 čas
Nedoločeno 872
 Stopnja dokaza B+
Poliolefin Natrijev klorid 0,9% 0,3 & 1,2 mg/ml
Brizgalka   Paclitaxel   
Brizgalka   Doxorubicin hydrochloride 0,2 mg/ml
32°C
24 čas
Svetloba 1286
Joker
Poliolefin Natrijev klorid 0,9% 0,3 & 1,2 mg/ml
Brizgalka   Paclitaxel   
Brizgalka   Carboplatin 2 mg/ml
32°C
24 čas
Nedoločeno 872
 Stopnja dokaza B+
Poliolefin Natrijev klorid 0,9% 0,3 & 1,2 mg/ml
Brizgalka   Paclitaxel   
Brizgalka   Carboplatin 2 mg/ml
4°C
24 čas
Zaščiteno pred svetlobo 872
 Stopnja dokaza B+
Poliolefin Natrijev klorid 0,9% 0,3 & 1,2 mg/ml
Brizgalka   Paclitaxel   
Brizgalka   Doxorubicin hydrochloride 0,2 mg/ml
4°C
24 čas
Zaščiteno pred svetlobo 1286
Joker
Poliolefin Glukoza 5% 0,3 & 1,2 mg/ml
Brizgalka   Paclitaxel   
Brizgalka   Doxorubicin hydrochloride 0,2 mg/ml
23°C
24 čas
Svetloba 1286
Joker
Poliolefin Glukoza 5% 0,3 & 1,2 mg/ml
Brizgalka   Paclitaxel   
Brizgalka   Carboplatin 2 mg/ml
23°C
24 čas
Nedoločeno 872
 Stopnja dokaza B+
Poliolefin Glukoza 5% 0,3 & 1,2 mg/ml
Brizgalka   Paclitaxel   
Brizgalka   Doxorubicin hydrochloride 0,2 mg/ml
32°C
24 čas
Svetloba 1286
Joker
Poliolefin Glukoza 5% 0,3 & 1,2 mg/ml
Brizgalka   Paclitaxel   
Brizgalka   Carboplatin 2 mg/ml
32°C
24 čas
Nedoločeno 872
 Stopnja dokaza B+
Poliolefin Glukoza 5% 0,3 & 1,2 mg/ml
Brizgalka   Paclitaxel   
Brizgalka   Carboplatin 2 mg/ml
4°C
24 čas
Zaščiteno pred svetlobo 872
 Stopnja dokaza B+
Poliolefin Glukoza 5% 0,3 & 1,2 mg/ml
Brizgalka   Paclitaxel   
Brizgalka   Doxorubicin hydrochloride 0,2 mg/ml
4°C
24 čas
Zaščiteno pred svetlobo 1286
Joker
Nedoločeno Natrijev klorid 0,9% 0,27 mg/ml
Brizgalka   Paclitaxel   
Brizgalka   Topotecan 0,028 mg/ml
20°C-23°C
4 čas
Svetloba 1026
 Stopnja dokaza C
Nedoločeno Glukoza 5% 0,27 mg/ml
Brizgalka   Paclitaxel   
Brizgalka   Topotecan 0,028 mg/ml
20°C-23°C
4 čas
Svetloba 1026
 Stopnja dokaza C

  Mentions Légales