Последнее обновление :
27/04/2026
Цитостатическое средство   Paclitaxel  
Инъекция
Стабильность растворов Стабильность смесей Факторы, которые влияют на стабильность Совместимость Способы введения Библиография pdf
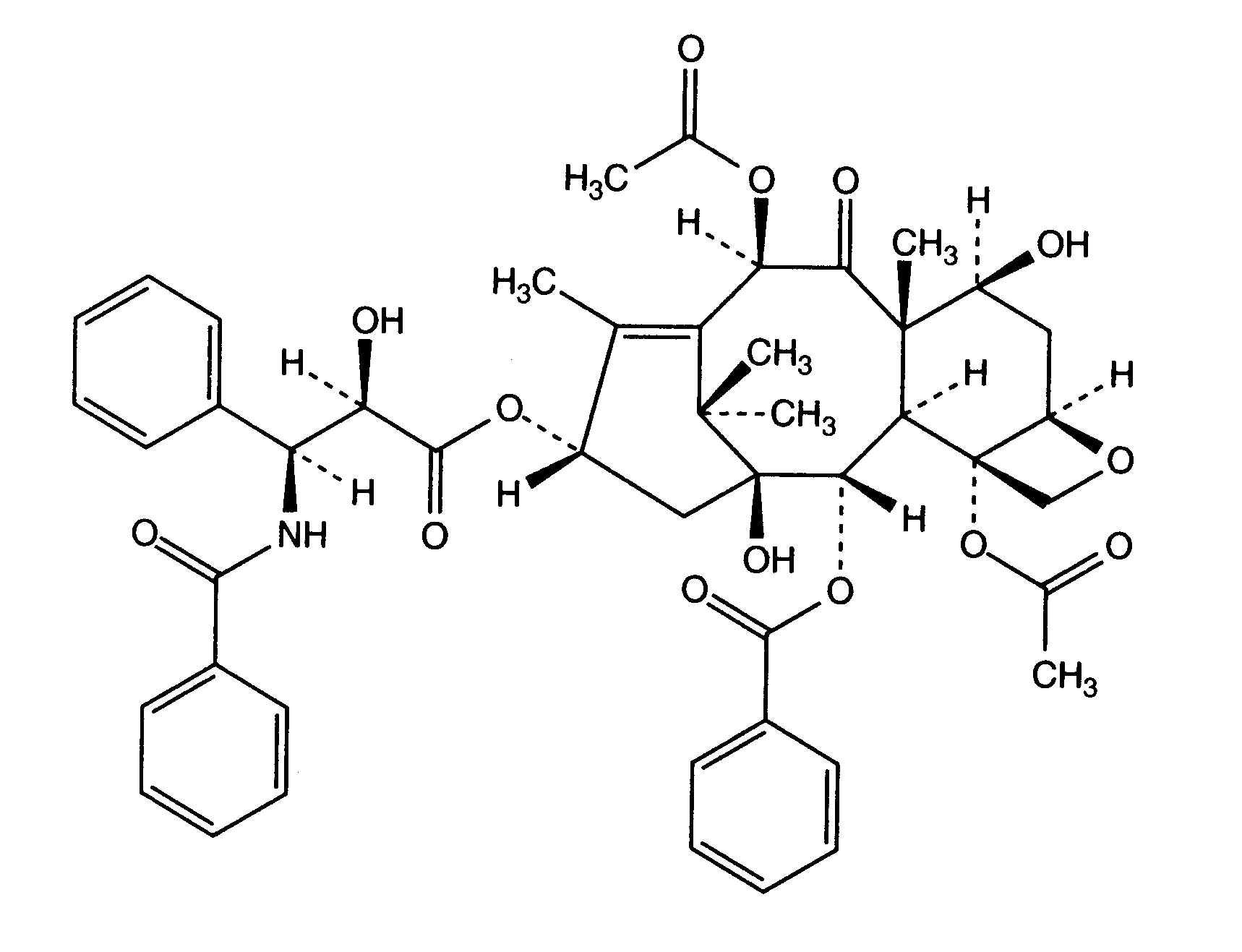
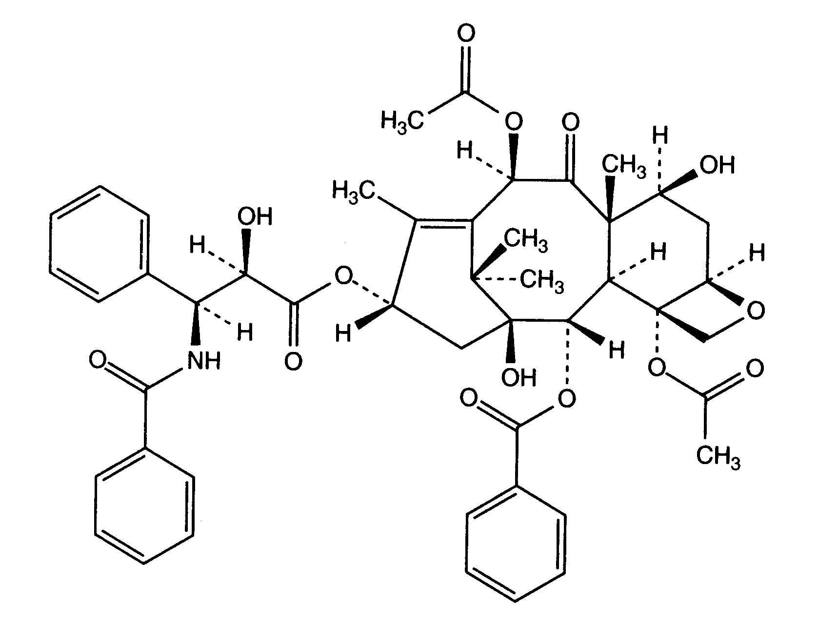
   Химическая структура  

Товарное название   Товарное название     

Trade names are indicative and excipients composition can be different depending on the country and manufacturers

Aclipak Малайзия
Acoexcel Мексика
Acupaxil Марокко
Anzatax Египет, Иран, Малайзия, Марокко, новая Зеландия, Объединенные Арабские Эмираты, Перу, Саудовская Аравия, Тунис, Турция
Aritaxel Германия
Cantaxel Индия
Clitaxel Аргентина, Венесуэла
Dalys Аргентина
Ebetaxel Австрия, Иран, Марокко, Саудовская Аравия, Тунис, Турция
Genexol Египет, Индия, Иран
Onxol Соединённые Штаты Америки
Paclinova Аргентина
Paclitaxin Бразилия, Люксембург, Малайзия, Словения
Parexel Бразилия, Венесуэла, Колумбия, Эквадор
Paxene Голландия, Греция, Дания, Ирландия, Испания, Польша
Poltaxel Польша
Ribotax Германия
Taxol Австрия, Бразилия, Венесуэла, Голландия, Греция, Дания, Египет, Иран, Италия, Колумбия, Малайзия, Марокко, новая Зеландия, Объединенные Арабские Эмираты, Перу, Польша, Португалия, Словения, Турция, Швейцария, Швеция, Япония
Taxomedac Германия
Vitax Бразилия, Перу, Турция
Стабильность смесей   Инъекция   Стабильность смесей : Paclitaxel     
Упаковка Растворитель Концентрация Молекула Температура Хранение Продолжительность стабильности Ссылки
Стекло Натрия хлорид 0,9% 0,145 mg/ml
Инъекция   Paclitaxel   
Инъекция   Granisetron hydrochloride 0,5 mg/ml
20°C-23°C
4 Час
Свет 57
Уровень доказательности A +
Стекло Глюкоза 5% 0,3 & 1,2 mg/ml
Инъекция   Paclitaxel   
Инъекция   Ondansetron hydrochloride 0,03 & 0,3 mg/ml
23°C
4 Час
Свет 47
Уровень доказательности A
Стекло Глюкоза 5% 0,3 & 1,2 mg/ml
Инъекция   Paclitaxel   
Инъекция   Ranitidine hydrochloride 0,5 & 2 mg/ml
23°C
4 Час
Свет 47
Уровень доказательности A
Стекло Глюкоза 5% 1,2 mg/ml
Инъекция   Paclitaxel   
Инъекция   Ondansetron hydrochloride 0,3 mg/ml
Инъекция   Ranitidine hydrochloride 2,0 mg/ml
23°C
4 Час
Свет 47
Уровень доказательности A
Стекло Глюкоза 5% 0,3 & 1,2 mg/ml
Инъекция   Paclitaxel   
Инъекция   Fluconazole 2 mg/ml
23°C
4 Час
Свет 151
Уровень доказательности A
Стекло Глюкоза 5% 0,62 mg/ml
Инъекция   Paclitaxel   
Инъекция   Palonosetron hydrochloride 26,6 µg/ml
25°C
4 Час
Не указано 1940
Уровень доказательности A +
Стекло Глюкоза 5% 0,6 mg/ml
Инъекция   Paclitaxel   
Инъекция   Acetyl L-carnitine 15 mg/ml
25°C
4 Час
3277
Уровень доказательности A +
Полиолефин Натрия хлорид 0,9% 0,3 & 1,2 mg/ml
Инъекция   Paclitaxel   
Инъекция   Doxorubicin hydrochloride 0,2 mg/ml
23°C
24 Час
Свет 1286
ДЖОКЕР
Полиолефин Натрия хлорид 0,9% 0,3 & 1,2 mg/ml
Инъекция   Paclitaxel   
Инъекция   Carboplatin 2 mg/ml
23°C
24 Час
Не указано 872
Уровень доказательности B +
Полиолефин Натрия хлорид 0,9% 0,3 & 1,2 mg/ml
Инъекция   Paclitaxel   
Инъекция   Doxorubicin hydrochloride 0,2 mg/ml
32°C
24 Час
Свет 1286
ДЖОКЕР
Полиолефин Натрия хлорид 0,9% 0,3 & 1,2 mg/ml
Инъекция   Paclitaxel   
Инъекция   Carboplatin 2 mg/ml
32°C
24 Час
Не указано 872
Уровень доказательности B +
Полиолефин Натрия хлорид 0,9% 0,3 & 1,2 mg/ml
Инъекция   Paclitaxel   
Инъекция   Carboplatin 2 mg/ml
4°C
24 Час
Защищён от света 872
Уровень доказательности B +
Полиолефин Натрия хлорид 0,9% 0,3 & 1,2 mg/ml
Инъекция   Paclitaxel   
Инъекция   Doxorubicin hydrochloride 0,2 mg/ml
4°C
24 Час
Защищён от света 1286
ДЖОКЕР
Полиолефин Глюкоза 5% 0,3 & 1,2 mg/ml
Инъекция   Paclitaxel   
Инъекция   Doxorubicin hydrochloride 0,2 mg/ml
23°C
24 Час
Свет 1286
ДЖОКЕР
Полиолефин Глюкоза 5% 0,3 & 1,2 mg/ml
Инъекция   Paclitaxel   
Инъекция   Carboplatin 2 mg/ml
23°C
24 Час
Не указано 872
Уровень доказательности B +
Полиолефин Глюкоза 5% 0,3 & 1,2 mg/ml
Инъекция   Paclitaxel   
Инъекция   Doxorubicin hydrochloride 0,2 mg/ml
32°C
24 Час
Свет 1286
ДЖОКЕР
Полиолефин Глюкоза 5% 0,3 & 1,2 mg/ml
Инъекция   Paclitaxel   
Инъекция   Carboplatin 2 mg/ml
32°C
24 Час
Не указано 872
Уровень доказательности B +
Полиолефин Глюкоза 5% 0,3 & 1,2 mg/ml
Инъекция   Paclitaxel   
Инъекция   Carboplatin 2 mg/ml
4°C
24 Час
Защищён от света 872
Уровень доказательности B +
Полиолефин Глюкоза 5% 0,3 & 1,2 mg/ml
Инъекция   Paclitaxel   
Инъекция   Doxorubicin hydrochloride 0,2 mg/ml
4°C
24 Час
Защищён от света 1286
ДЖОКЕР
Не указано Натрия хлорид 0,9% 0,27 mg/ml
Инъекция   Paclitaxel   
Инъекция   Topotecan 0,028 mg/ml
20°C-23°C
4 Час
Свет 1026
Уровень доказательности C
Не указано Глюкоза 5% 0,27 mg/ml
Инъекция   Paclitaxel   
Инъекция   Topotecan 0,028 mg/ml
20°C-23°C
4 Час
Свет 1026
Уровень доказательности C

  Mentions Légales