Pēdējā atjaunošana :
27/04/2026
vēzis narkotiku   Paclitaxel  
Injekcija
Šķīduma stabilitāte Maisījuma stabilitāte Stabilitāti ietekmējoši faktori Saderība Levadīšanas veids Literatūras saraksts pdf
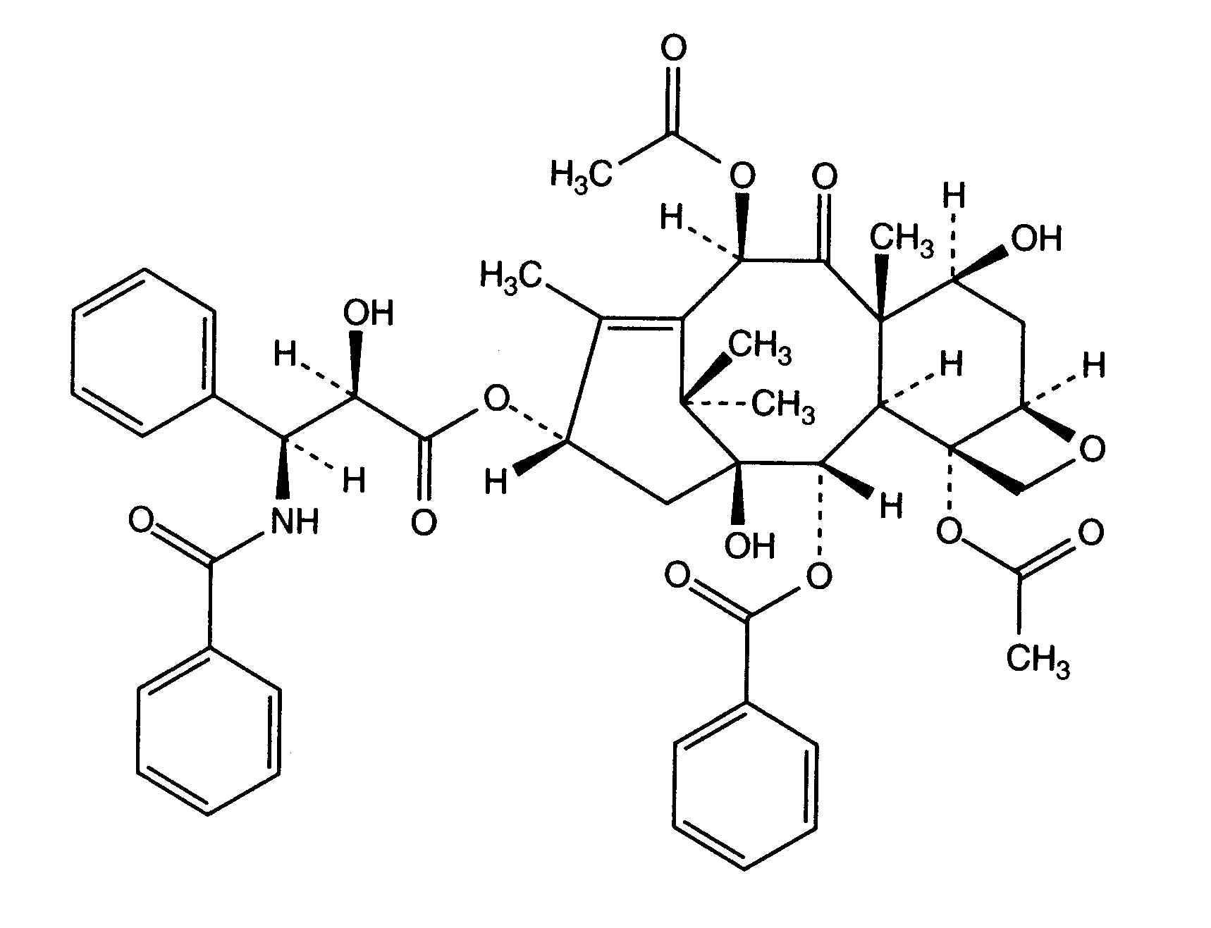
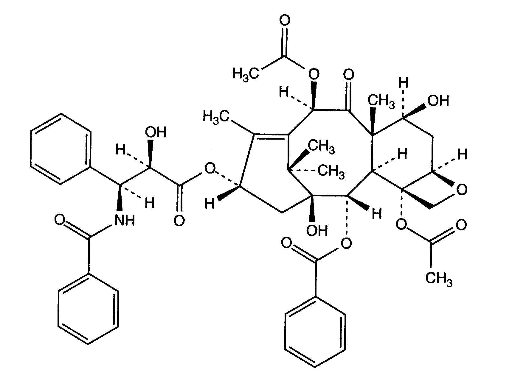
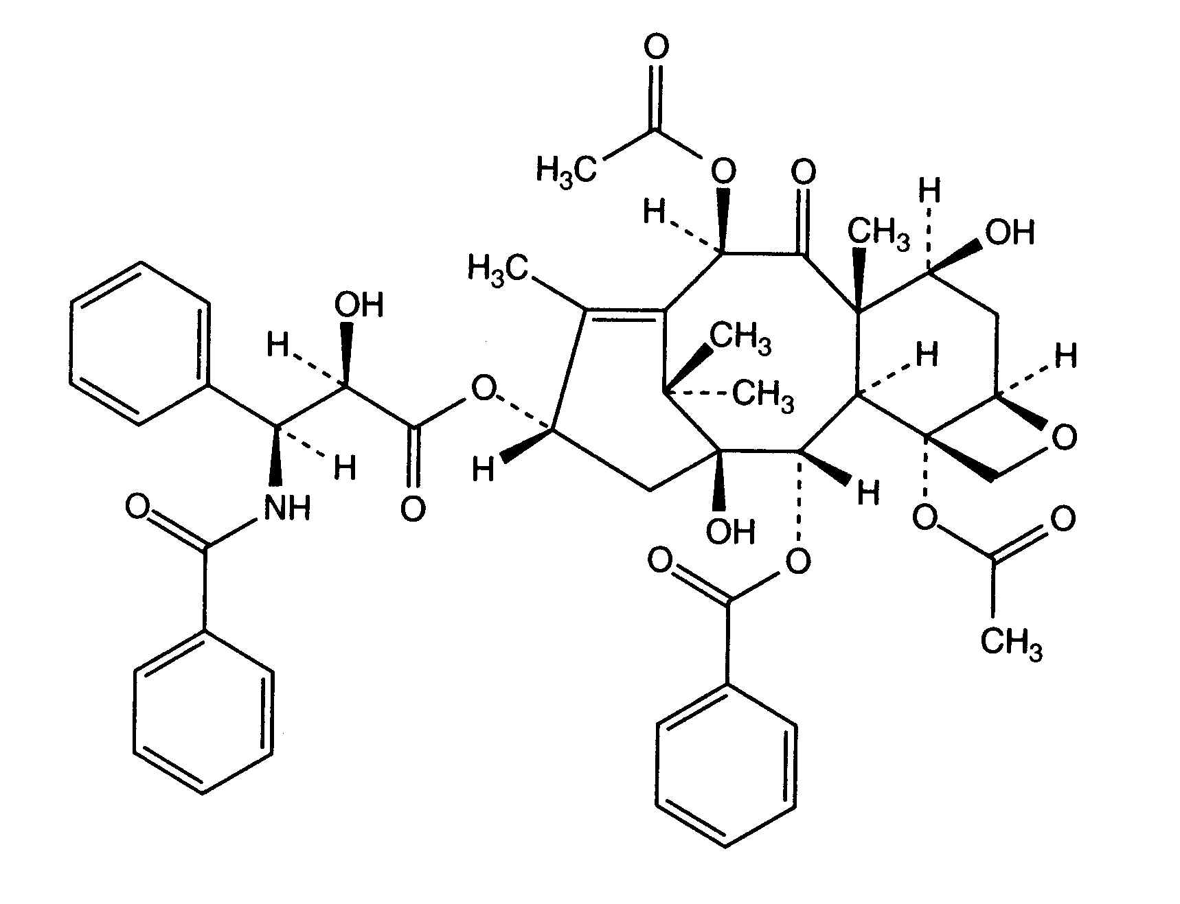
   Ķīmiskā uzbūve   

Oriģinālais nosaukums   Oriģinālais nosaukums     

Tirdzniecības nosaukumi ir apzīmējoši un palīgvielas var atšķirties dažādām valstīm un laboratorijām

Aclipak Malaizija
Acoexcel Meksika
Acupaxil Maroka
Anzatax Apvienotie Arābu Emirāti, Ēģipte, Irāna, Jaunzēlande, Malaizija, Maroka, Peru, Saūda Arābija, Tunisija, Turcija
Aritaxel Vācija
Cantaxel Indija
Clitaxel Argentīna, Venecuēla
Dalys Argentīna
Ebetaxel Austrija, Irāna, Maroka, Saūda Arābija, Tunisija, Turcija
Genexol Ēģipte, Indija, Irāna
Onxol Amerikas Savienotās Valstis
Paclinova Argentīna
Paclitaxin Brazīlija, Luksemburga, Malaizija, Slovēnija
Parexel Brazīlija, Ekvadora, Kolumbija, Venecuēla
Paxene Dānija, Grieķija, Holande, Īrija, Polija, Spānija
Poltaxel Polija
Ribotax Vācija
Taxol Apvienotie Arābu Emirāti, Austrija, Brazīlija, Dānija, Ēģipte, Grieķija, Holande, Irāna, Itālija, Japāna, Jaunzēlande, Kolumbija, Malaizija, Maroka, Peru, Polija, Portugāle, Slovēnija, Šveice, Turcija, Venecuēla, Zviedrija
Taxomedac Vācija
Vitax Brazīlija, Peru, Turcija
Maisījuma stabilitāte   Injekcija   Maisījuma stabilitāte : Paclitaxel     
Iepakojums Šķīdinātājs Koncentrācija Savienojums Temperatūra Glabāšana Stabilitātes ilgums Literatūras saraksts
Stikls Nātrija hlorīds 0.9% 0,145 mg/ml
Injekcija   Paclitaxel   
Injekcija   Granisetron hydrochloride 0,5 mg/ml
20°C-23°C
4 Stunda
Gaisma 57
Pierādījumu līmenis A+
Stikls 5% glikoze 0,3 & 1,2 mg/ml
Injekcija   Paclitaxel   
Injekcija   Ondansetron hydrochloride 0,03 & 0,3 mg/ml
23°C
4 Stunda
Gaisma 47
Pierādījumu līmenis A
Stikls 5% glikoze 0,3 & 1,2 mg/ml
Injekcija   Paclitaxel   
Injekcija   Ranitidine hydrochloride 0,5 & 2 mg/ml
23°C
4 Stunda
Gaisma 47
Pierādījumu līmenis A
Stikls 5% glikoze 1,2 mg/ml
Injekcija   Paclitaxel   
Injekcija   Ondansetron hydrochloride 0,3 mg/ml
Injekcija   Ranitidine hydrochloride 2,0 mg/ml
23°C
4 Stunda
Gaisma 47
Pierādījumu līmenis A
Stikls 5% glikoze 0,3 & 1,2 mg/ml
Injekcija   Paclitaxel   
Injekcija   Fluconazole 2 mg/ml
23°C
4 Stunda
Gaisma 151
Pierādījumu līmenis A
Stikls 5% glikoze 0,62 mg/ml
Injekcija   Paclitaxel   
Injekcija   Palonosetron hydrochloride 26,6 µg/ml
25°C
4 Stunda
Nav specifisks 1940
Pierādījumu līmenis A+
Stikls 5% glikoze 0,6 mg/ml
Injekcija   Paclitaxel   
Injekcija   Acetyl L-carnitine 15 mg/ml
25°C
4 Stunda
3277
Pierādījumu līmenis A+
Poliolefīns Nātrija hlorīds 0.9% 0,3 & 1,2 mg/ml
Injekcija   Paclitaxel   
Injekcija   Doxorubicin hydrochloride 0,2 mg/ml
23°C
24 Stunda
Gaisma 1286
\
Poliolefīns Nātrija hlorīds 0.9% 0,3 & 1,2 mg/ml
Injekcija   Paclitaxel   
Injekcija   Carboplatin 2 mg/ml
23°C
24 Stunda
Nav specifisks 872
Pierādījumu līmenis B+
Poliolefīns Nātrija hlorīds 0.9% 0,3 & 1,2 mg/ml
Injekcija   Paclitaxel   
Injekcija   Doxorubicin hydrochloride 0,2 mg/ml
32°C
24 Stunda
Gaisma 1286
\
Poliolefīns Nātrija hlorīds 0.9% 0,3 & 1,2 mg/ml
Injekcija   Paclitaxel   
Injekcija   Carboplatin 2 mg/ml
32°C
24 Stunda
Nav specifisks 872
Pierādījumu līmenis B+
Poliolefīns Nātrija hlorīds 0.9% 0,3 & 1,2 mg/ml
Injekcija   Paclitaxel   
Injekcija   Carboplatin 2 mg/ml
4°C
24 Stunda
Aizsargāt no gaismas 872
Pierādījumu līmenis B+
Poliolefīns Nātrija hlorīds 0.9% 0,3 & 1,2 mg/ml
Injekcija   Paclitaxel   
Injekcija   Doxorubicin hydrochloride 0,2 mg/ml
4°C
24 Stunda
Aizsargāt no gaismas 1286
\
Poliolefīns 5% glikoze 0,3 & 1,2 mg/ml
Injekcija   Paclitaxel   
Injekcija   Doxorubicin hydrochloride 0,2 mg/ml
23°C
24 Stunda
Gaisma 1286
\
Poliolefīns 5% glikoze 0,3 & 1,2 mg/ml
Injekcija   Paclitaxel   
Injekcija   Carboplatin 2 mg/ml
23°C
24 Stunda
Nav specifisks 872
Pierādījumu līmenis B+
Poliolefīns 5% glikoze 0,3 & 1,2 mg/ml
Injekcija   Paclitaxel   
Injekcija   Doxorubicin hydrochloride 0,2 mg/ml
32°C
24 Stunda
Gaisma 1286
\
Poliolefīns 5% glikoze 0,3 & 1,2 mg/ml
Injekcija   Paclitaxel   
Injekcija   Carboplatin 2 mg/ml
32°C
24 Stunda
Nav specifisks 872
Pierādījumu līmenis B+
Poliolefīns 5% glikoze 0,3 & 1,2 mg/ml
Injekcija   Paclitaxel   
Injekcija   Carboplatin 2 mg/ml
4°C
24 Stunda
Aizsargāt no gaismas 872
Pierādījumu līmenis B+
Poliolefīns 5% glikoze 0,3 & 1,2 mg/ml
Injekcija   Paclitaxel   
Injekcija   Doxorubicin hydrochloride 0,2 mg/ml
4°C
24 Stunda
Aizsargāt no gaismas 1286
\
Nespecifisks Nātrija hlorīds 0.9% 0,27 mg/ml
Injekcija   Paclitaxel   
Injekcija   Topotecan 0,028 mg/ml
20°C-23°C
4 Stunda
Gaisma 1026
Pierādījumu līmenis C
Nespecifisks 5% glikoze 0,27 mg/ml
Injekcija   Paclitaxel   
Injekcija   Topotecan 0,028 mg/ml
20°C-23°C
4 Stunda
Gaisma 1026
Pierādījumu līmenis C

  Mentions Légales