Zadnji put ažurirano :
27/04/2026
lijek protiv karcinoma   Paclitaxel  
injekcija
Stabilizacija rješenja Stabilnost mješavine Stabilizacijski faktor Kompatibilnosti način davanja lijeka Bibliografija pdf
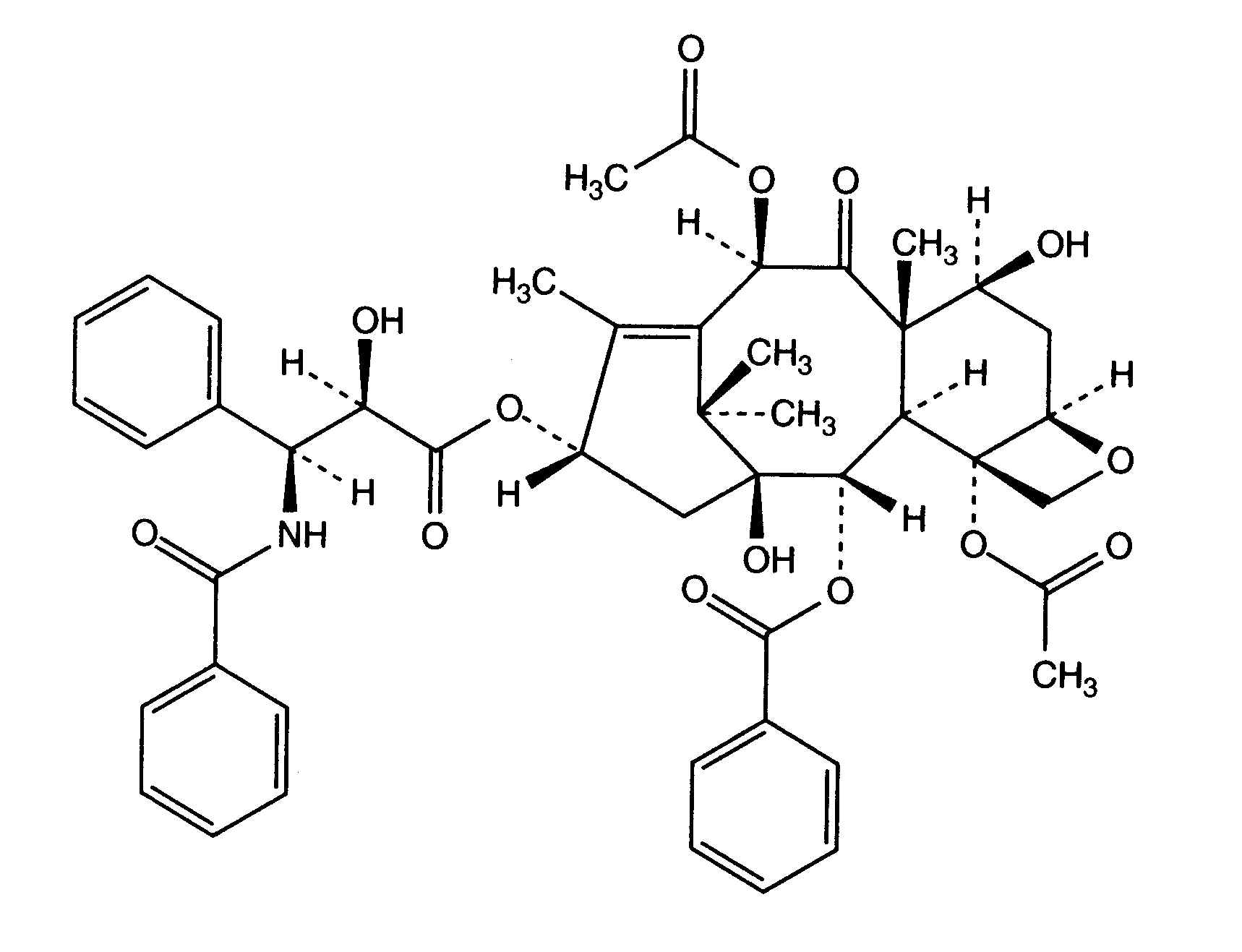
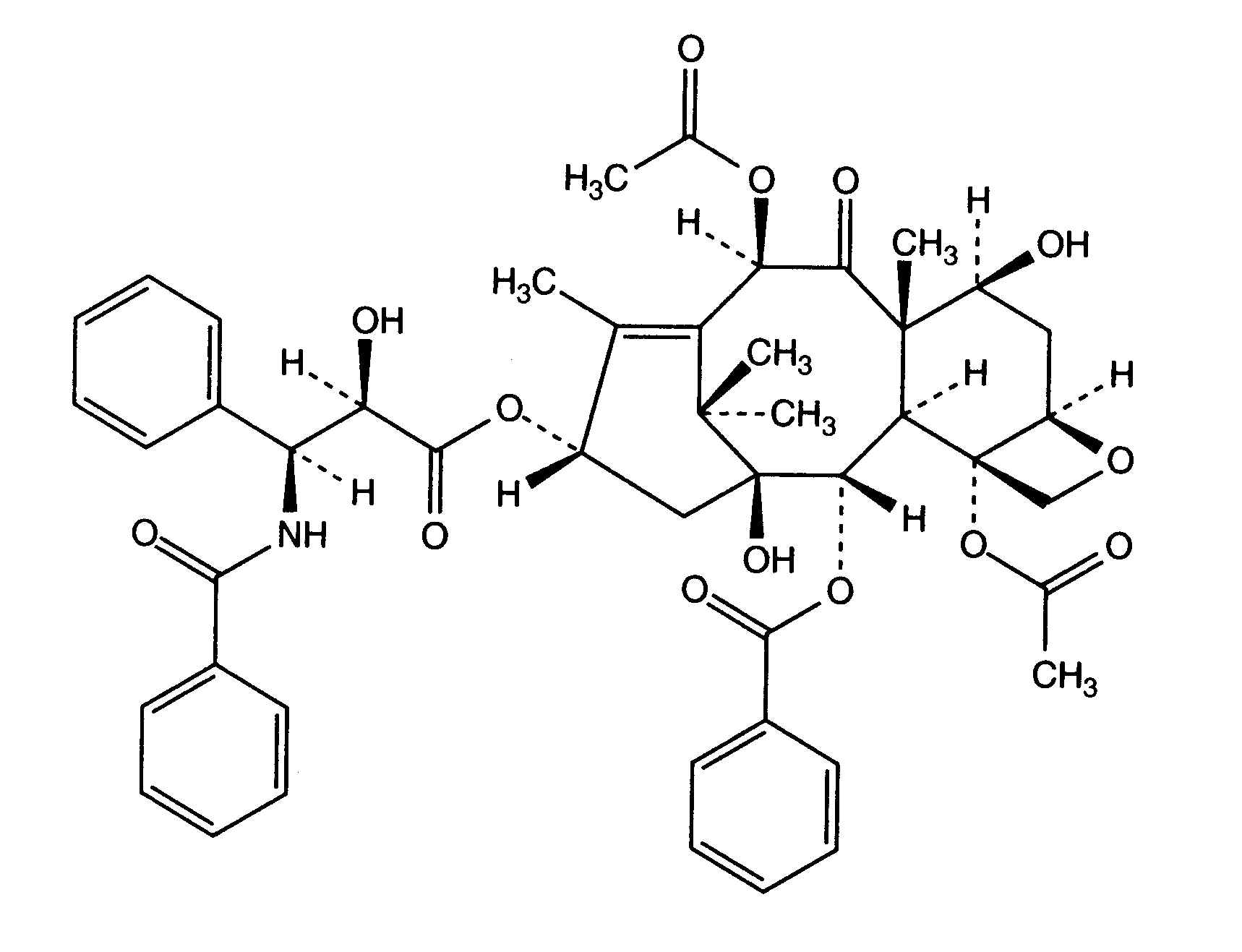
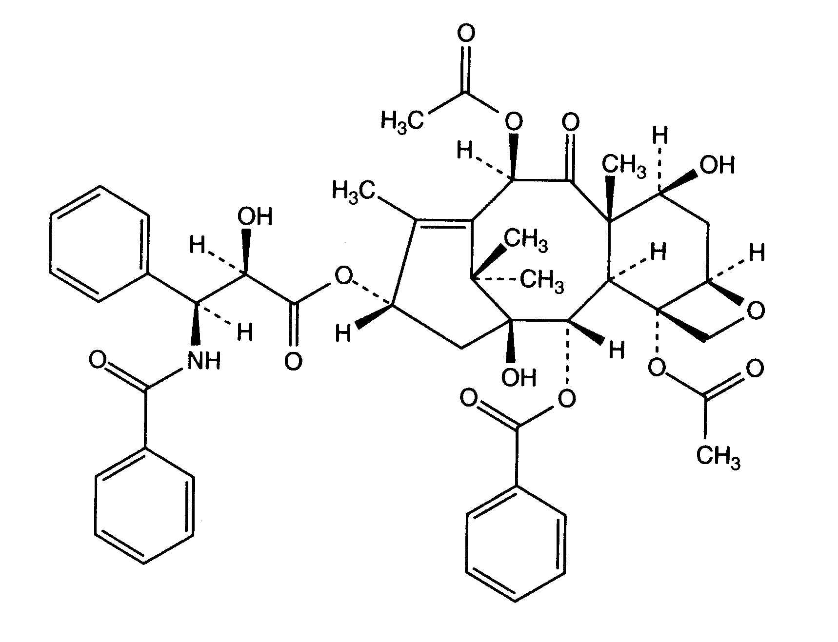
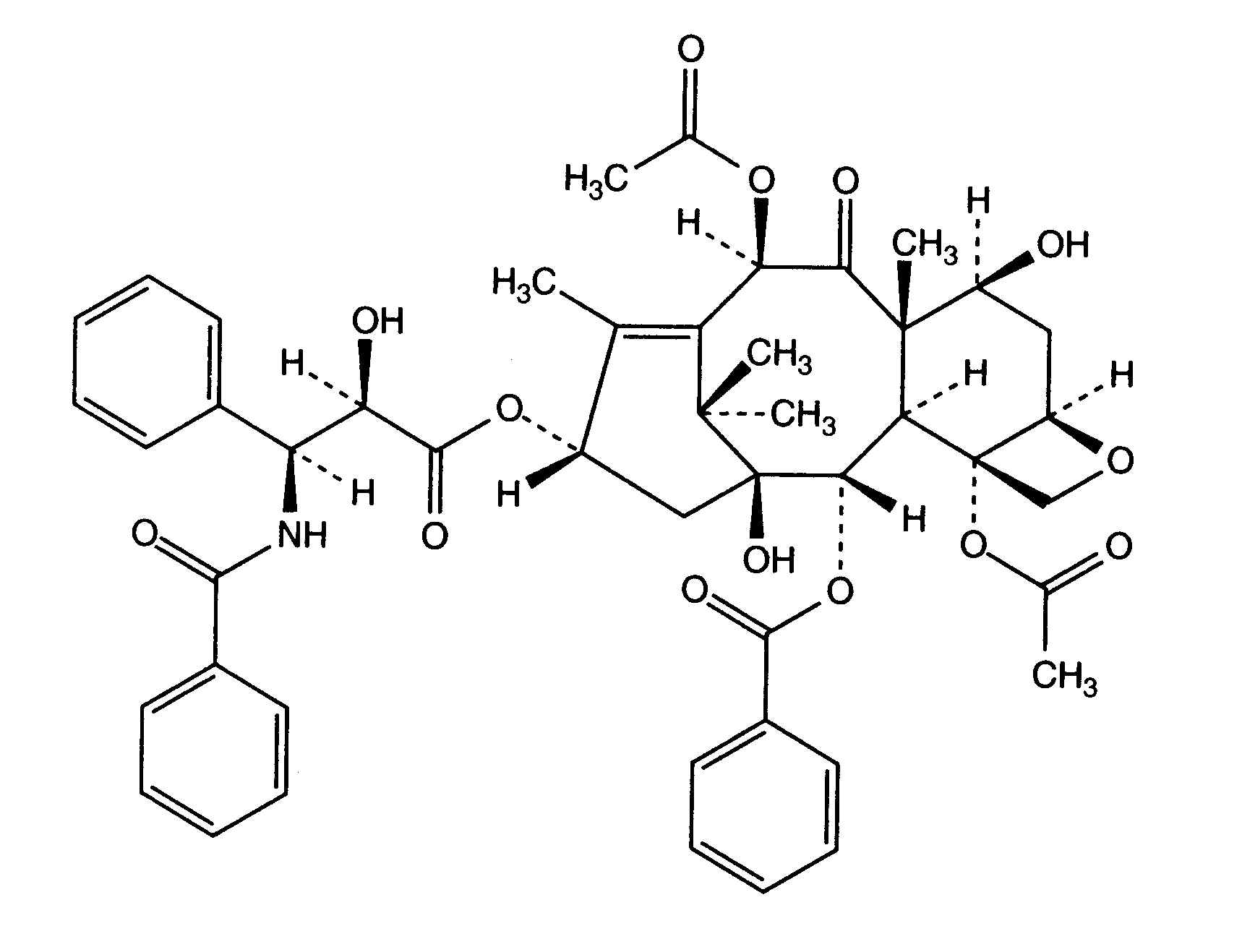
   Kemijska struktura  

Nekomercijalni   Nekomercijalni     

Zaštićeni nazivi su indikativni i sastav ekscipijensa može biti različit ovisno o državi i laboratorijima

Aclipak Malezija
Acoexcel Meksiko
Acupaxil Maroko
Anzatax Egipat, Iran, Malezija, Maroko, novi Zeland, Peru, Saudijska Arabija, Tunis, Turska, Ujedinjeni Arapski Emirati
Aritaxel Njemačka
Cantaxel Indija
Clitaxel Argentina, Venecuela
Dalys Argentina
Ebetaxel Austrija, Iran, Maroko, Saudijska Arabija, Tunis, Turska
Genexol Indija, Egipat, Iran
Onxol S A D
Paclinova Argentina
Paclitaxin Brazil, Luksemburg, Malezija, Slovenija
Parexel Brazil, Ekvador, Kolumbija, Venecuela
Paxene Danska, Grčka, Irska, Nizozemska, Poljska, Španjolska
Poltaxel Poljska
Ribotax Njemačka
Taxol Austrija, Brazil, Danska, Egipat, Grčka, Iran, Italija, Japan, Kolumbija, Malezija, Maroko, Nizozemska, novi Zeland, Peru, Poljska, Portugal, Slovenija, Švedska, Švicarska, Turska, Ujedinjeni Arapski Emirati, Venecuela
Taxomedac Njemačka
Vitax Brazil, Peru, Turska
Stabilnost mješavine   injekcija   Stabilnost mješavine : Paclitaxel     
Kontejner sredstvo za rastapanje koncentracija molekula temperatura Konzerviranje Trajanje stabilnosti Bibliografija
čaša natrijumkorid 0,9% 0,145 mg/ml
injekcija   Paclitaxel   
injekcija   Granisetron hydrochloride 0,5 mg/ml
20°C-23°C
4 sat
svjetlost 57
Razina dokaza A+
čaša glukoza 5% 0,3 & 1,2 mg/ml
injekcija   Paclitaxel   
injekcija   Ondansetron hydrochloride 0,03 & 0,3 mg/ml
23°C
4 sat
svjetlost 47
Razina dokaza A
čaša glukoza 5% 0,3 & 1,2 mg/ml
injekcija   Paclitaxel   
injekcija   Ranitidine hydrochloride 0,5 & 2 mg/ml
23°C
4 sat
svjetlost 47
Razina dokaza A
čaša glukoza 5% 1,2 mg/ml
injekcija   Paclitaxel   
injekcija   Ondansetron hydrochloride 0,3 mg/ml
injekcija   Ranitidine hydrochloride 2,0 mg/ml
23°C
4 sat
svjetlost 47
Razina dokaza A
čaša glukoza 5% 0,3 & 1,2 mg/ml
injekcija   Paclitaxel   
injekcija   Fluconazole 2 mg/ml
23°C
4 sat
svjetlost 151
Razina dokaza A
čaša glukoza 5% 0,62 mg/ml
injekcija   Paclitaxel   
injekcija   Palonosetron hydrochloride 26,6 µg/ml
25°C
4 sat
nespecifičan 1940
Razina dokaza A+
čaša glukoza 5% 0,6 mg/ml
injekcija   Paclitaxel   
injekcija   Acetyl L-carnitine 15 mg/ml
25°C
4 sat
3277
Razina dokaza A+
poliolefin natrijumkorid 0,9% 0,3 & 1,2 mg/ml
injekcija   Paclitaxel   
injekcija   Doxorubicin hydrochloride 0,2 mg/ml
23°C
24 sat
svjetlost 1286
OZNAKA
poliolefin natrijumkorid 0,9% 0,3 & 1,2 mg/ml
injekcija   Paclitaxel   
injekcija   Carboplatin 2 mg/ml
23°C
24 sat
nespecifičan 872
Razina dokaza B+
poliolefin natrijumkorid 0,9% 0,3 & 1,2 mg/ml
injekcija   Paclitaxel   
injekcija   Doxorubicin hydrochloride 0,2 mg/ml
32°C
24 sat
svjetlost 1286
OZNAKA
poliolefin natrijumkorid 0,9% 0,3 & 1,2 mg/ml
injekcija   Paclitaxel   
injekcija   Carboplatin 2 mg/ml
32°C
24 sat
nespecifičan 872
Razina dokaza B+
poliolefin natrijumkorid 0,9% 0,3 & 1,2 mg/ml
injekcija   Paclitaxel   
injekcija   Carboplatin 2 mg/ml
4°C
24 sat
Zaštićeno od svjetlosti 872
Razina dokaza B+
poliolefin natrijumkorid 0,9% 0,3 & 1,2 mg/ml
injekcija   Paclitaxel   
injekcija   Doxorubicin hydrochloride 0,2 mg/ml
4°C
24 sat
Zaštićeno od svjetlosti 1286
OZNAKA
poliolefin glukoza 5% 0,3 & 1,2 mg/ml
injekcija   Paclitaxel   
injekcija   Doxorubicin hydrochloride 0,2 mg/ml
23°C
24 sat
svjetlost 1286
OZNAKA
poliolefin glukoza 5% 0,3 & 1,2 mg/ml
injekcija   Paclitaxel   
injekcija   Carboplatin 2 mg/ml
23°C
24 sat
nespecifičan 872
Razina dokaza B+
poliolefin glukoza 5% 0,3 & 1,2 mg/ml
injekcija   Paclitaxel   
injekcija   Doxorubicin hydrochloride 0,2 mg/ml
32°C
24 sat
svjetlost 1286
OZNAKA
poliolefin glukoza 5% 0,3 & 1,2 mg/ml
injekcija   Paclitaxel   
injekcija   Carboplatin 2 mg/ml
32°C
24 sat
nespecifičan 872
Razina dokaza B+
poliolefin glukoza 5% 0,3 & 1,2 mg/ml
injekcija   Paclitaxel   
injekcija   Carboplatin 2 mg/ml
4°C
24 sat
Zaštićeno od svjetlosti 872
Razina dokaza B+
poliolefin glukoza 5% 0,3 & 1,2 mg/ml
injekcija   Paclitaxel   
injekcija   Doxorubicin hydrochloride 0,2 mg/ml
4°C
24 sat
Zaštićeno od svjetlosti 1286
OZNAKA
nespecifičan natrijumkorid 0,9% 0,27 mg/ml
injekcija   Paclitaxel   
injekcija   Topotecan 0,028 mg/ml
20°C-23°C
4 sat
svjetlost 1026
Razina dokaza C
nespecifičan glukoza 5% 0,27 mg/ml
injekcija   Paclitaxel   
injekcija   Topotecan 0,028 mg/ml
20°C-23°C
4 sat
svjetlost 1026
Razina dokaza C

  Mentions Légales