Posledná aktualizácia :
27/04/2026
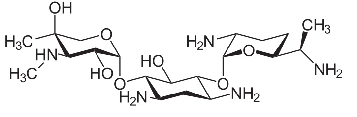
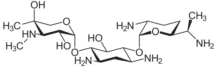
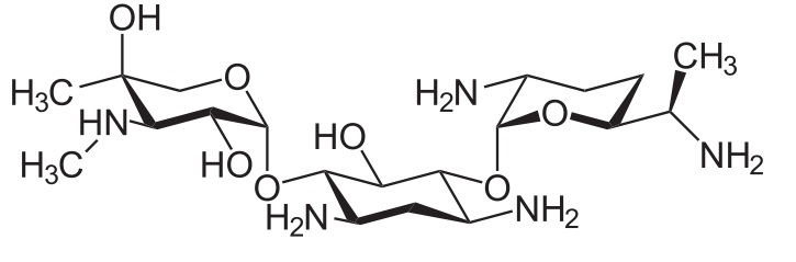
antibiotikum   Gentamicin sulfate  
Očná instilácia
Injekcia
Stabilita farmaceutických prípravkov Stabilita v zmesiach Faktory ovplyvňujúce stabilitu Kompatibility Odkazy na literatúru PDF
   Chemický vzorec  

Očná instilácia
Kompatibility   Očná instilácia   Kompatibility : Gentamicin sulfate              
žiadne údaje

  Mentions Légales