Poslední aktualizace :
27/01/2026
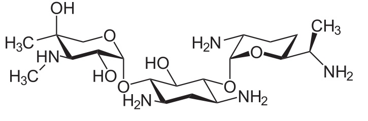
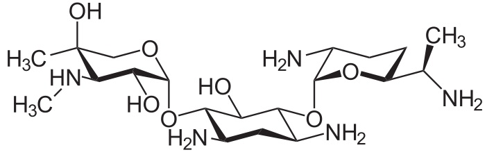
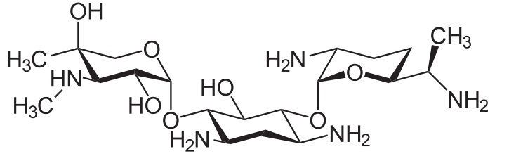
Antibiotikas   Gentamicin sulfate  
Akių lašai
Įpurškimas
Stabilumas farmacinių preparatų Mišinių stabilumas Stabilumą lemiantys veiksniai Suderinamumas Bibliografija pdf
   Cheminė sandara  

Akių lašai
Suderinamumas   Akių lašai   Suderinamumas : Gentamicin sulfate              
Nėra duomenų

  Mentions Légales