Τελευταία ενημέρωση :
27/01/2026
Αντιβιοτικό   Gentamicin sulfate  
Οφθαλμικές σταγόνες
Ενέσιμο
Σταθερότητα και συμβατότητα των φαρμάκων Σταθερότητα σε μίγματα Παράγοντας που επηρεάζει τη σταθερότητα Συμβατότητες Βιβλιογραφία pdf
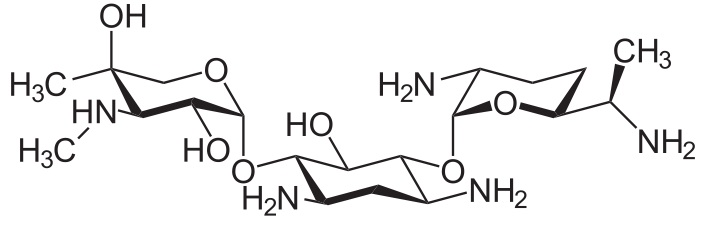
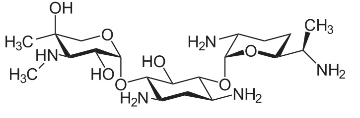
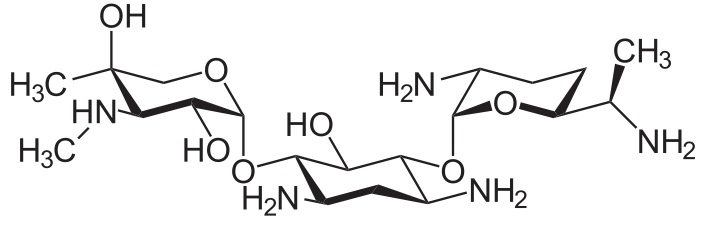
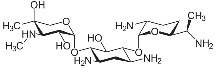
   χημική δομή  

Οφθαλμικές σταγόνες
Συμβατότητες    Οφθαλμικές σταγόνες   Συμβατότητες : Gentamicin sulfate              
Δεν υπάρχουν πληροφορίες

  Mentions Légales