آخر تحديث :
27/04/2026
مضاد حيوي   Gentamicin sulfate  
قطرات العين
حقن
استقرار المستحضرات الصيدلانية استقرار مخاليط العوامل التي تؤثر على الاستقرار التوافق مراجع pdf
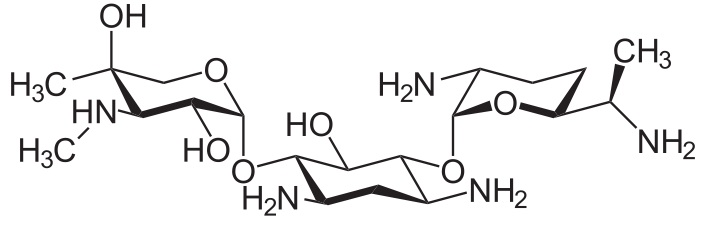
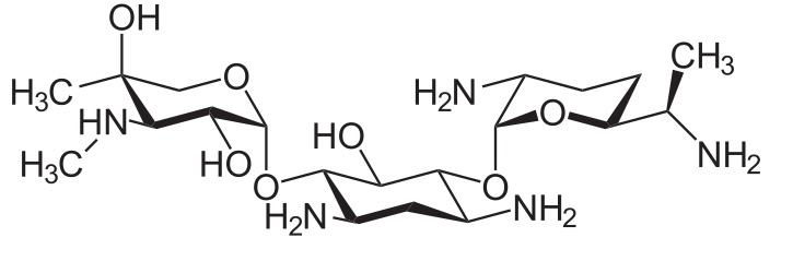
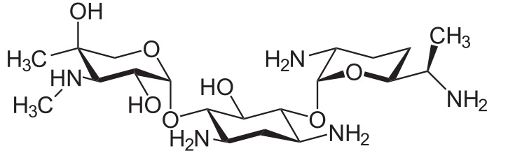
   التركيب الكيميائي  

قطرات العين
التوافق   قطرات العين   التوافق : Gentamicin sulfate              
لا توجد بيانات

  Mentions Légales