Последнее обновление :
27/04/2026
Антибиотик   Gentamicin sulfate  
Глазные капли
Инъекция
Стабильность фармацевтических препаратов Стабильность смесей Факторы, которые влияют на стабильность Совместимость Библиография pdf
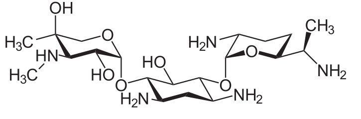
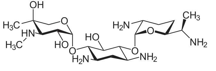
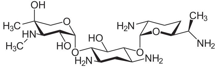
   Химическая структура  

Глазные капли
Совместимость   Глазные капли   Совместимость : Gentamicin sulfate              
данных нет

  Mentions Légales