zadnja posodobitev :
27/04/2026
Antibiotik   Gentamicin sulfate  
Kapljice za oči
Brizgalka
Stabilnost farmacevtskih preparatov Stabilnost mešanice Faktorji, ki vplivajo na stabilnost Kompatibilnost Viri pdf
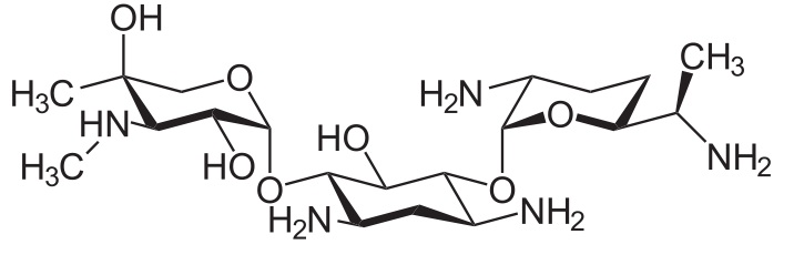
   Kemična formula  

Kapljice za oči
Kompatibilnost   Kapljice za oči   Kompatibilnost : Gentamicin sulfate              
ni podatka

  Mentions Légales