Last update :
27/01/2026
Antibiotic   Gentamicin sulfate  
Eye-drops
injection
Stability of pharmaceutical preparations Stability of mixtures Factors which affect stability Compatibility References pdf
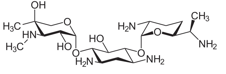
   Chemical structure  

Eye-drops
Compatibility   Eye-drops   Compatibility : Gentamicin sulfate              
No data

  Mentions Légales