最新更新 :
27/01/2026
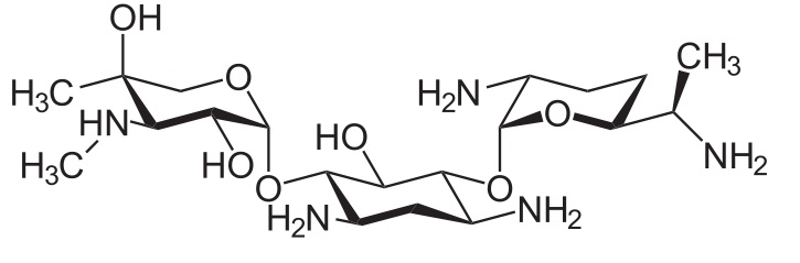
抗生素   Gentamicin sulfate  
眼药水
注射液
制剂的稳定性 混合物稳定性 影响稳定性的因素 兼容性 引用文献 PDF
   化学式  

眼药水
兼容性   眼药水   兼容性 : Gentamicin sulfate              
无数据

  Mentions Légales