Última actualización :
18/03/2026
Antibiótico   Gentamicin sulfate  
Gotas oculares
Inyectables
La estabilidad de las preparaciones farmacéuticas Estabilidad en mezcla Factores que influyen sobre la estabilidad Compatibilidades Bibliografía pdf
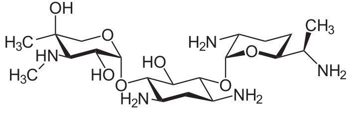
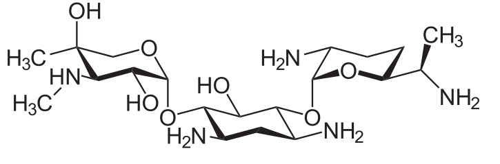
   Estructura química  

Gotas oculares
La estabilidad de las preparaciones farmacéuticas   Gotas oculares   La estabilidad de las preparaciones farmacéuticas : Gentamicin sulfate     
Envase Origine Excipiente Temperatura Conservación Duración de la estabilidad Bibliografía
Vidrio Frasco para medicamentos inyectables 80 mg
®=?
NaCl 0.9% >>10 ml
2-8°C A cubierto de la luz
42 Día
2547

Vidrio Frasco para medicamentos inyectables 140 mg
®=?
NaCl 0.9% >>10 ml
2-8°C A cubierto de la luz
42 Día
2547

Vidrio Frasco para medicamentos inyectables 80 mg
®=?
NaCl 0.9% >>10 ml
26°C No precisada
7 Día
2547

Vidrio Frasco para medicamentos inyectables 140 mg
®=?
NaCl 0.9% >>10 ml
26°C No precisada
7 Día
2547

Botella de plástico Frasco para medicamentos inyectables 5 ml
gentamycine sulfate 40 mg/ml ®=? (Lyphomed)
Genoptic® 3 mg/ml gotas oculares 2 ml
4-8°C A cubierto de la luz
90 Día
2487


  Mentions Légales