Senaste uppdateringen :
27/01/2026
Antibiotikum   Gentamicin sulfate  
ögondroppar
injektion
Stabilitet av läkemedel Stabilitet i blandningar Faktorer som påverkar stabiliteten Kompatibilitet Hänvisningar pdf
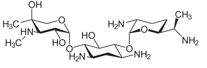
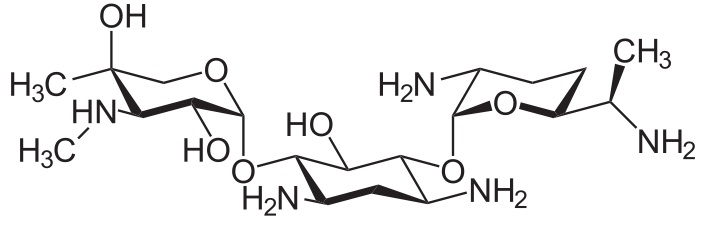
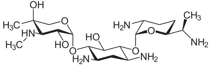
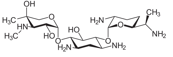
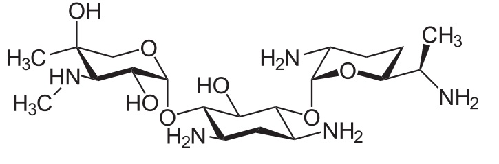
   Molekylstruktur  

ögondroppar
Kompatibilitet   ögondroppar   Kompatibilitet : Gentamicin sulfate              
Ingen uppgift

  Mentions Légales