Poslední aktualizace :
27/04/2026
Antibiotikum   Gentamicin sulfate  
Humbuk
injekce
Stabilita farmaceutických přípravků Stabilita směsí Faktory ovlivňující stabilitu Kompatibilita Odkazy pdf
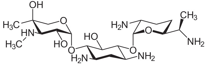
   Chemický vzorec  

Humbuk
Kompatibilita   Humbuk   Kompatibilita : Gentamicin sulfate              
žádná data

  Mentions Légales