Letztes “update” :
27/04/2026
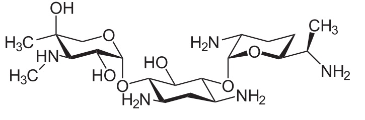
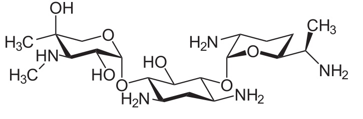
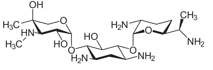
Antibiotikum   Gentamicin sulfate  
Augentropfen
Injektion
Stabilität von pharmazeutischen Präparaten Gemengestabilität Stabilitätbeeinflussende Faktoren Kompatibilitäten Literaturverzeichnis pdf
   Chemische Struktur  

Augentropfen
Kompatibilitäten   Augentropfen   Kompatibilitäten : Gentamicin sulfate              
Keine Daten

  Mentions Légales