Laatste update :
27/04/2026
Antibioticum   Gentamicin sulfate  
Oogwater
injecteerbaar geneesmiddel
Stabiliteit van farmaceutische preparaten Stabiliteit in mengsels Factoren die de stabiliteit beïnvloeden Verenigbaarheden Literatuur pdf
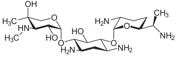
   Molecuulstructuur  

Oogwater
Verenigbaarheden   Oogwater   Verenigbaarheden : Gentamicin sulfate              
geen gegevens

  Mentions Légales