Ultimele actualizari :
27/04/2026
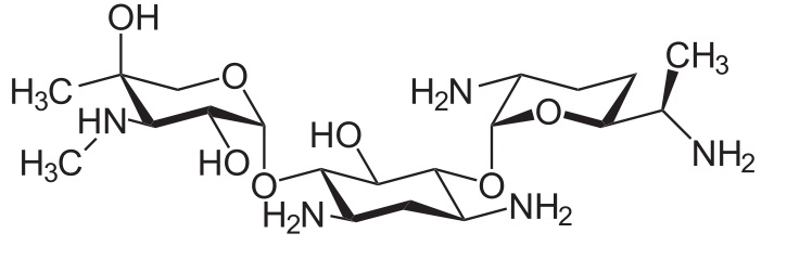
Antibiotic   Gentamicin sulfate  
colir
Injectabil
Stabilitatea preparatelor farmaceutice Stabilitatea in amestec Factorii care influenteaza stabilitatea Compatibilitate Bibliografie pdf
   Formula chimica  

colir
Compatibilitate   colir   Compatibilitate : Gentamicin sulfate              
Absenta de date

  Mentions Légales