Poslední aktualizace :
27/01/2026
Antibiotikas   Gentamicin sulfate  
Akių lašai
Įpurškimas
Stabilumas farmacinių preparatų Mišinių stabilumas Stabilumą lemiantys veiksniai Suderinamumas Bibliografija pdf
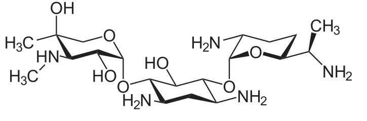
   Cheminė sandara  

Akių lašai

Stabilumą lemiantys veiksniai   Akių lašai   Stabilumą lemiantys veiksniai : Gentamicin sulfate        
Nuorodos
Temperatūra 25°C Skatina Mažesnis stabilumas 2547

  Mentions Légales