Последно актуализиране :
27/01/2026
Антибиотик   Gentamicin sulfate  
Капки за очи
Инжекция/Инжекционен
Стабилност на лекарствени препарати Стабилност на смеси Фактори, повлияващи стабилността Съвместимост Библиография Pdf
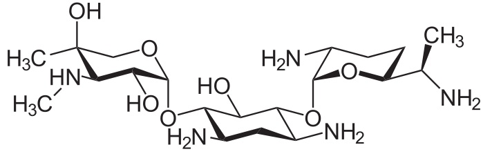
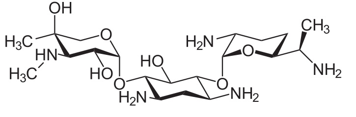
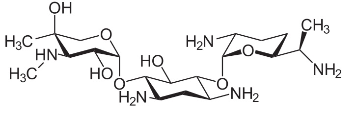
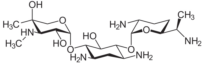
   Химична структура  

Капки за очи
Съвместимост   Капки за очи   Съвместимост : Gentamicin sulfate              
Няма данни

  Mentions Légales