Zadnji put ažurirano :
27/04/2026
antibiotik   Gentamicin sulfate  
kapi za oko
injekcija
Stabilnost farmaceutskih pripravaka Stabilnost mješavine Stabilizacijski faktor Kompatibilnosti Bibliografija pdf
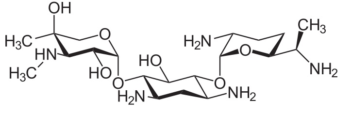
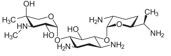
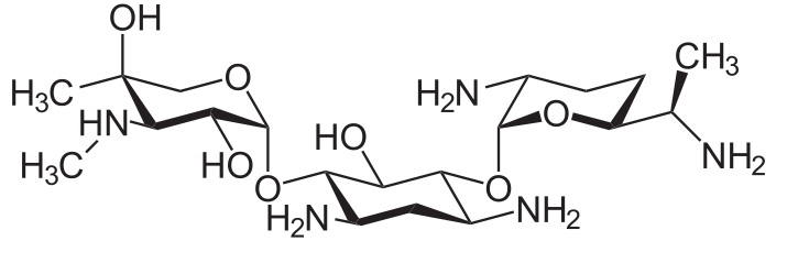
   Kemijska struktura  

kapi za oko
Kompatibilnosti   kapi za oko   Kompatibilnosti : Gentamicin sulfate              
bez podataka

  Mentions Légales