Son güncelleme :
27/04/2026
Antibiyotik   Gentamicin sulfate  
Göz damlası
Enjeksiyon
Farmasötik preparatlar Kararlılığı Karışımlardaki stabilitesi Stabiliteyi etkileyen faktörler Uyumluluk Kaynaklar pdf
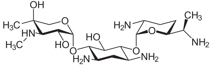
   Kimyasal yapı   

Göz damlası
Uyumluluk   Göz damlası   Uyumluluk : Gentamicin sulfate              
veri yok

  Mentions Légales