Останнє оновлення :
27/01/2026
Протигрибковий   Amphotericin B  
Очні краплі
ін'єкція аерозоль Ополіскувач ротової порожнини Розчин для перорального застосування
Стабільність фармацевтичних препаратів Стійкість сумішей Фактори, що впливають на стабільність Сумісність Список літератури pdf
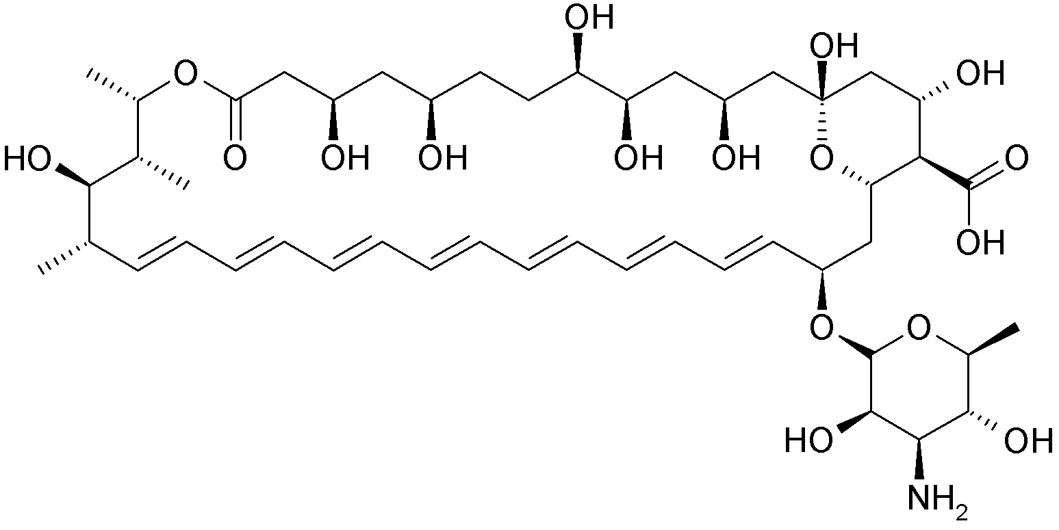
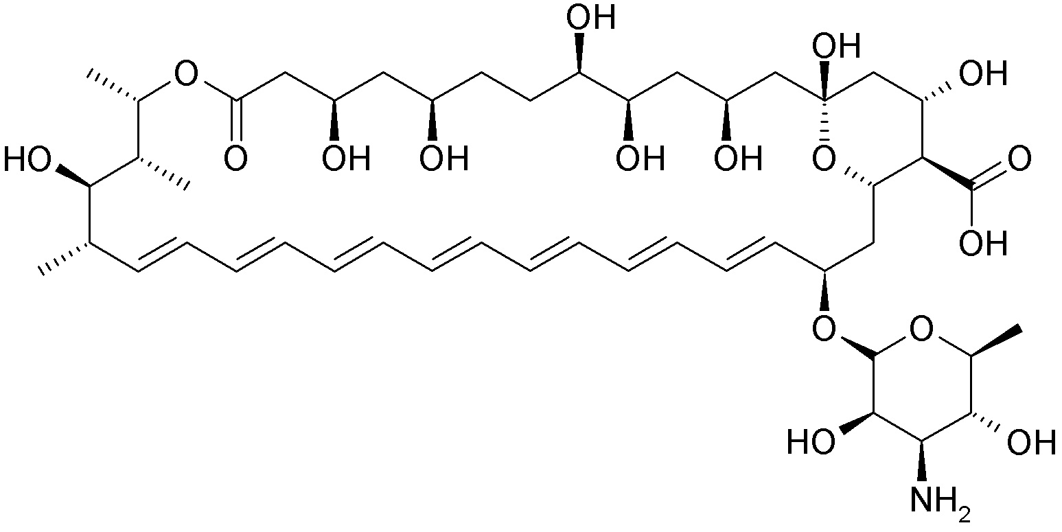
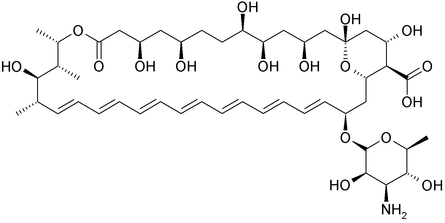
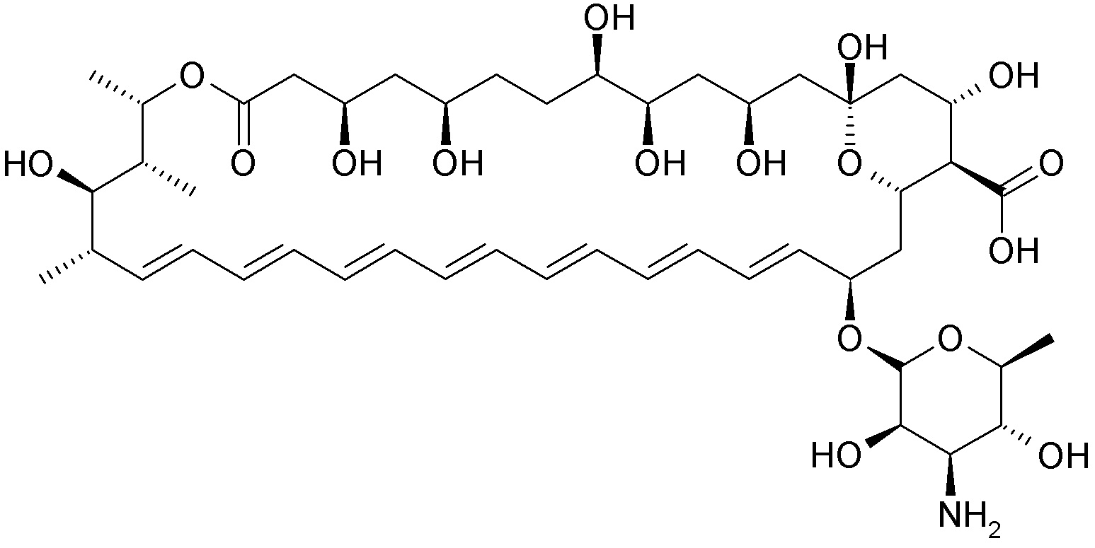
   Хімічна структура  

Очні краплі
Сумісність   Очні краплі   Сумісність : Amphotericin B              
7 / 5 000 Résultats de traduction Немає даних

  Mentions Légales