Letztes “update” :
27/01/2026
Antifungoid   Amphotericin B  
Augentropfen
Aerosol Injektion Lösung zum Einnehmen Mundspüllösung
Stabilität von pharmazeutischen Präparaten Gemengestabilität Stabilitätbeeinflussende Faktoren Kompatibilitäten Literaturverzeichnis pdf
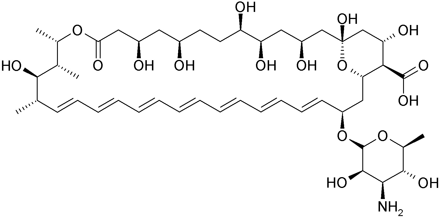
   Chemische Struktur  

Augentropfen
Kompatibilitäten   Augentropfen   Kompatibilitäten : Amphotericin B              
Keine Daten

  Mentions Légales