Last update :
27/01/2026
Antifungal   Amphotericin B  
Eye-drops
aerosol injection Mouthwash Oral solution
Stability of pharmaceutical preparations Stability of mixtures Factors which affect stability Compatibility References pdf
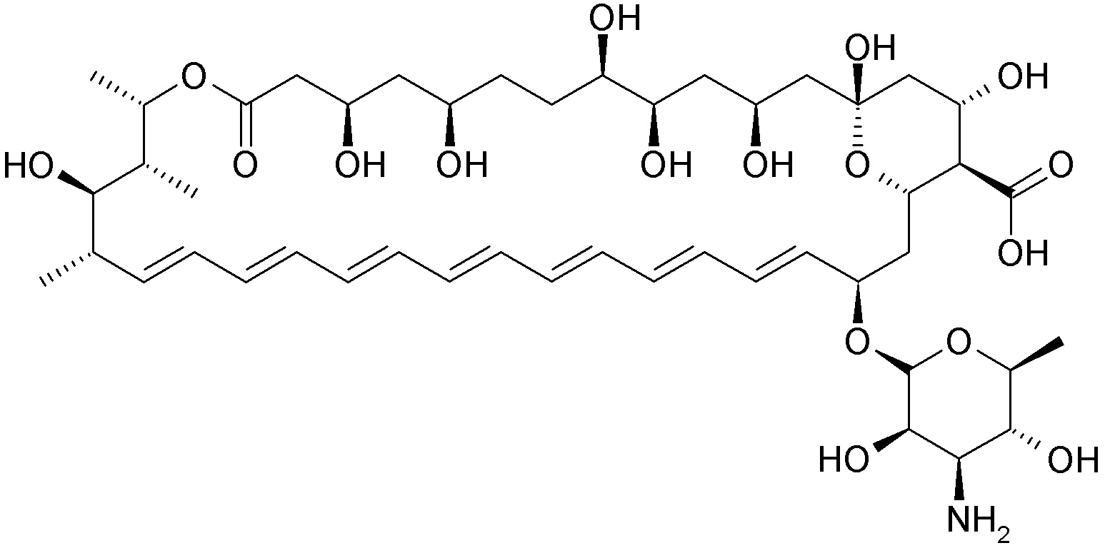
   Chemical structure  

Eye-drops
Compatibility   Eye-drops   Compatibility : Amphotericin B              
No data

  Mentions Légales