Ultimo aggiornamento :
03/03/2026
Antimicotico   Amphotericin B  
Collirio
Aerosol Collutorio Iniezione Soluzione orale
Stabilità dei preparati farmaceutici Stabilità in miscela Fattori che influenzano la stabilità Compatibilità Bibliografia pdf
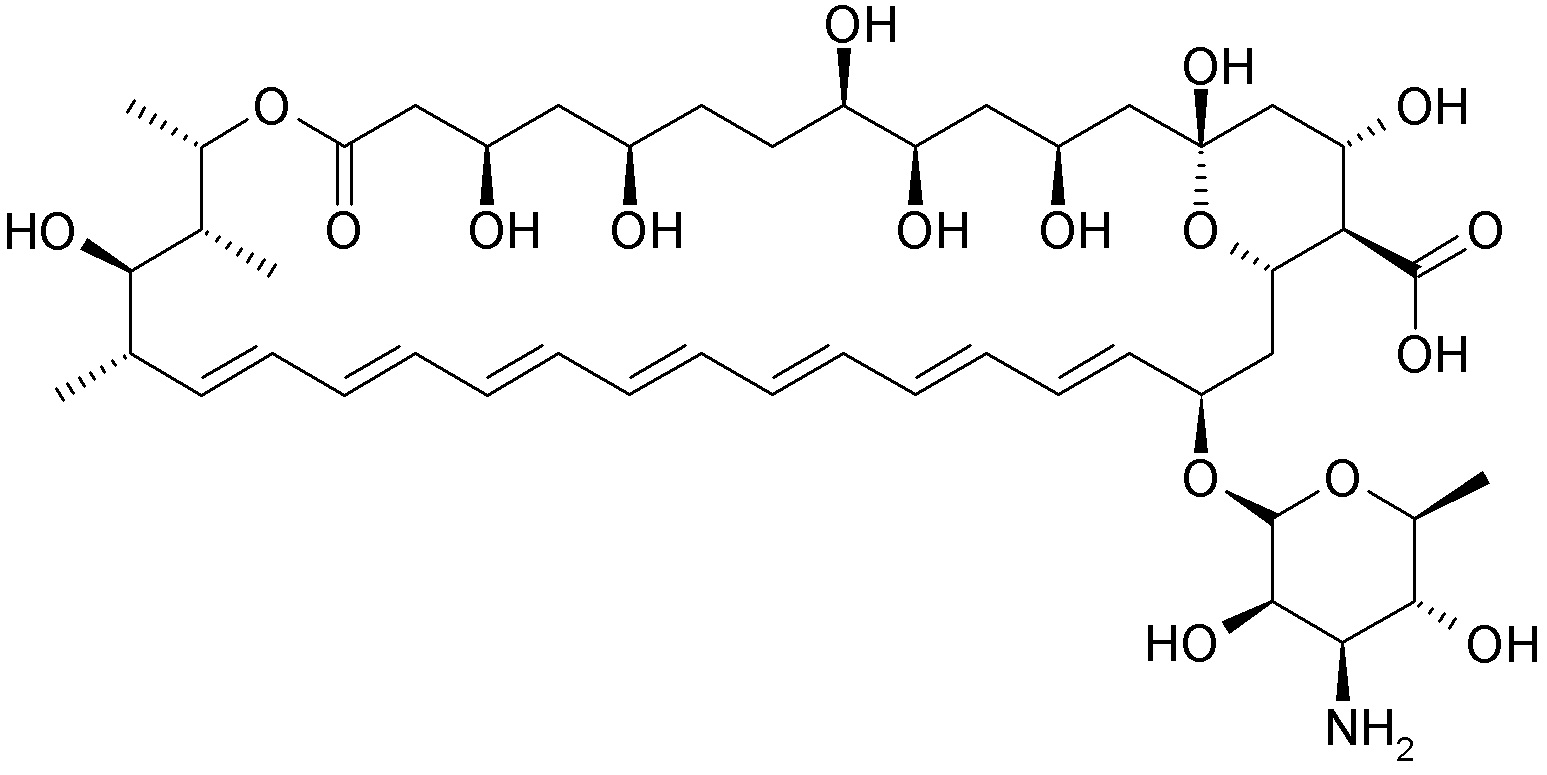
   Struttura chimica  

Collirio
Stabilità in miscela   Collirio   Stabilità in miscela : Amphotericin B     
Assenza di dati

  Mentions Légales