آخر تحديث :
27/01/2026
مضاد للفطريات   Amphotericin B  
قطرات العين
الأيروصولات حقن عن طريق الفم  غسول الفم
استقرار المستحضرات الصيدلانية استقرار مخاليط العوامل التي تؤثر على الاستقرار التوافق مراجع pdf
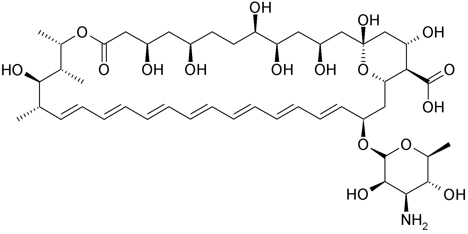
   التركيب الكيميائي  

قطرات العين
التوافق   قطرات العين   التوافق : Amphotericin B              
لا توجد بيانات

  Mentions Légales