Τελευταία ενημέρωση :
27/01/2026
Αντιμυκητικό   Amphotericin B  
Οφθαλμικές σταγόνες
Αεροζόλ Ενέσιμο Πόσιμο διάλυμα Στοματικό διάλυμα
Σταθερότητα και συμβατότητα των φαρμάκων Σταθερότητα σε μίγματα Παράγοντας που επηρεάζει τη σταθερότητα Συμβατότητες Βιβλιογραφία pdf
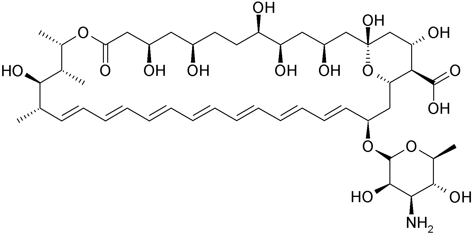
   χημική δομή  

Οφθαλμικές σταγόνες
Συμβατότητες    Οφθαλμικές σταγόνες   Συμβατότητες : Amphotericin B              
Δεν υπάρχουν πληροφορίες

  Mentions Légales