Pēdējā atjaunošana :
27/01/2026
Pretsēnīšu līdzeklis   Amphotericin B  
Acu pilieni
Aerosols Injekcija Mutes skalojamais līdzeklis Orāls šķīdums
Stabilitāte farmaceitisko preparātu Maisījuma stabilitāte Stabilitāti ietekmējoši faktori Saderība Literatūras saraksts pdf
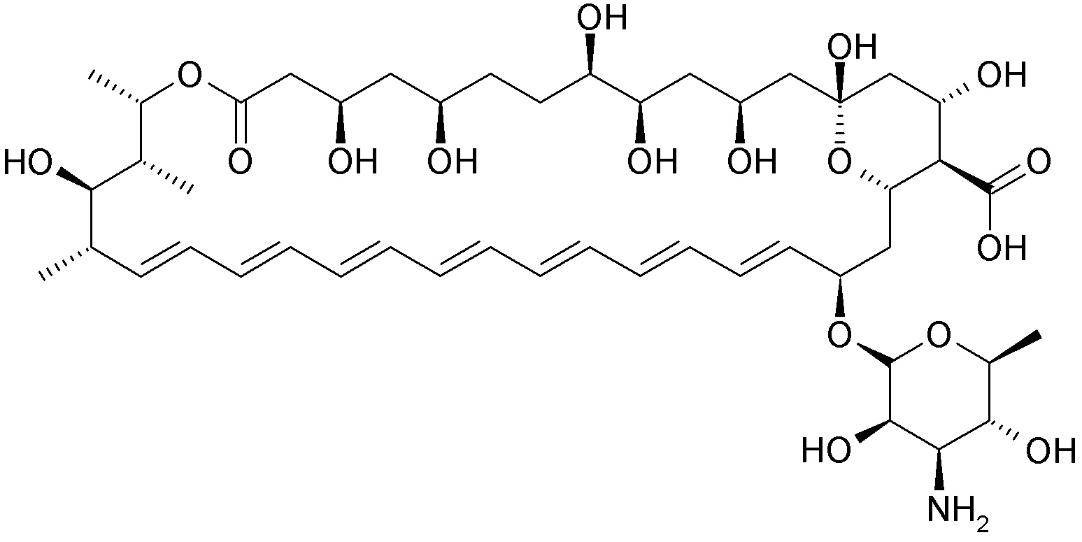
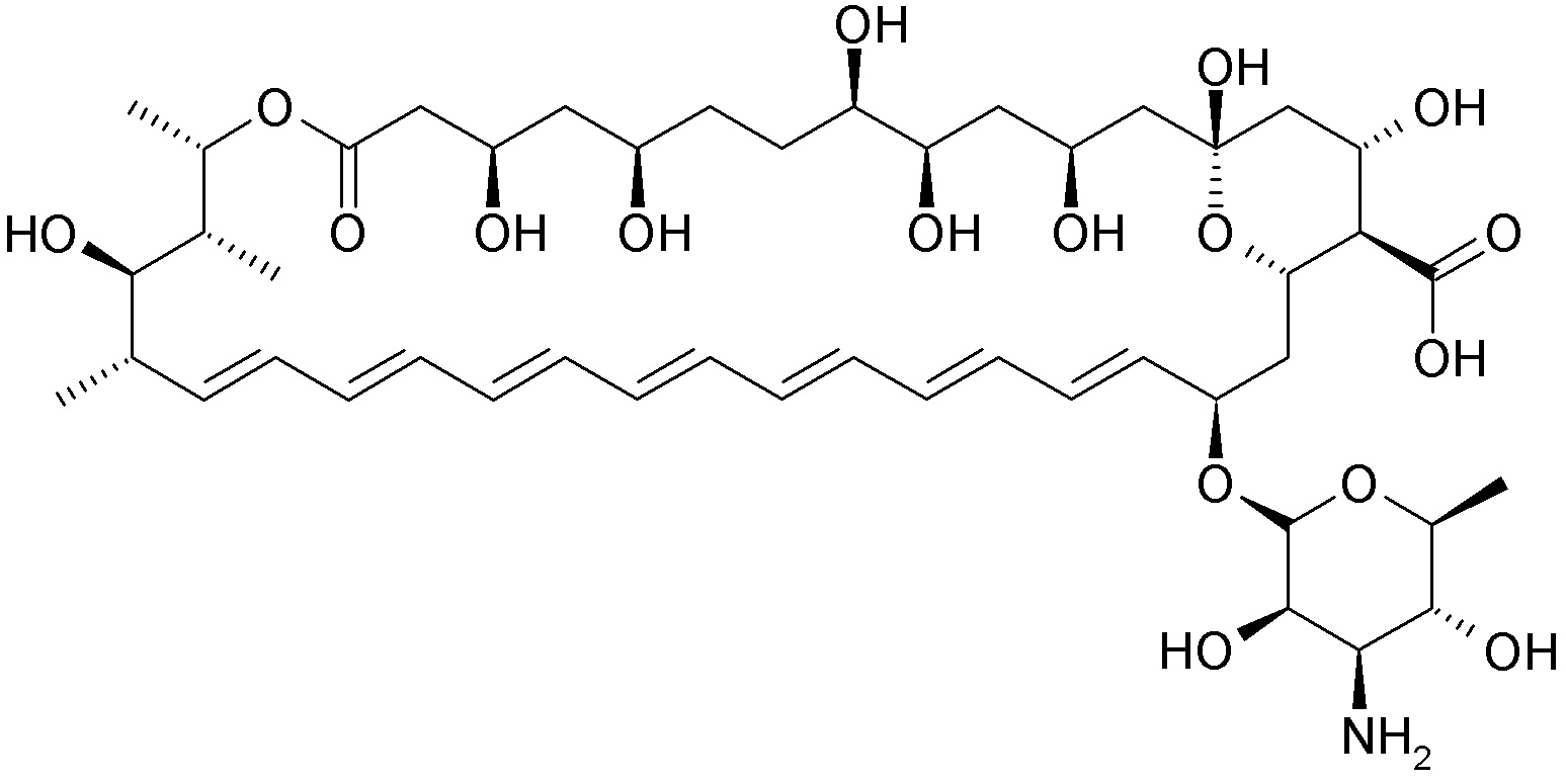
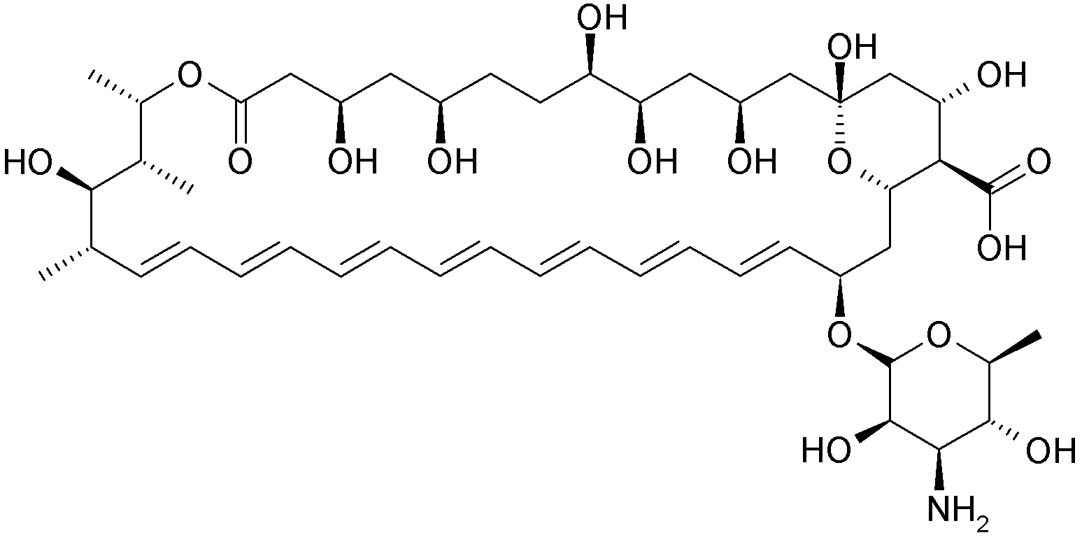
   Ķīmiskā uzbūve   

Acu pilieni
Saderība   Acu pilieni   Saderība : Amphotericin B              
Nav datu

  Mentions Légales