Seneste opdatering :
27/01/2026
Antisvampe   Amphotericin B  
Øjendråber
Aerosol Injektion Mundskyllevæske Oral opløsning
Stabilitet af farmaceutiske tilberedninger Stabilitet i blandinger Faktorer der påvirker stabiliteten Kompatibilitet Bibliografi pdf
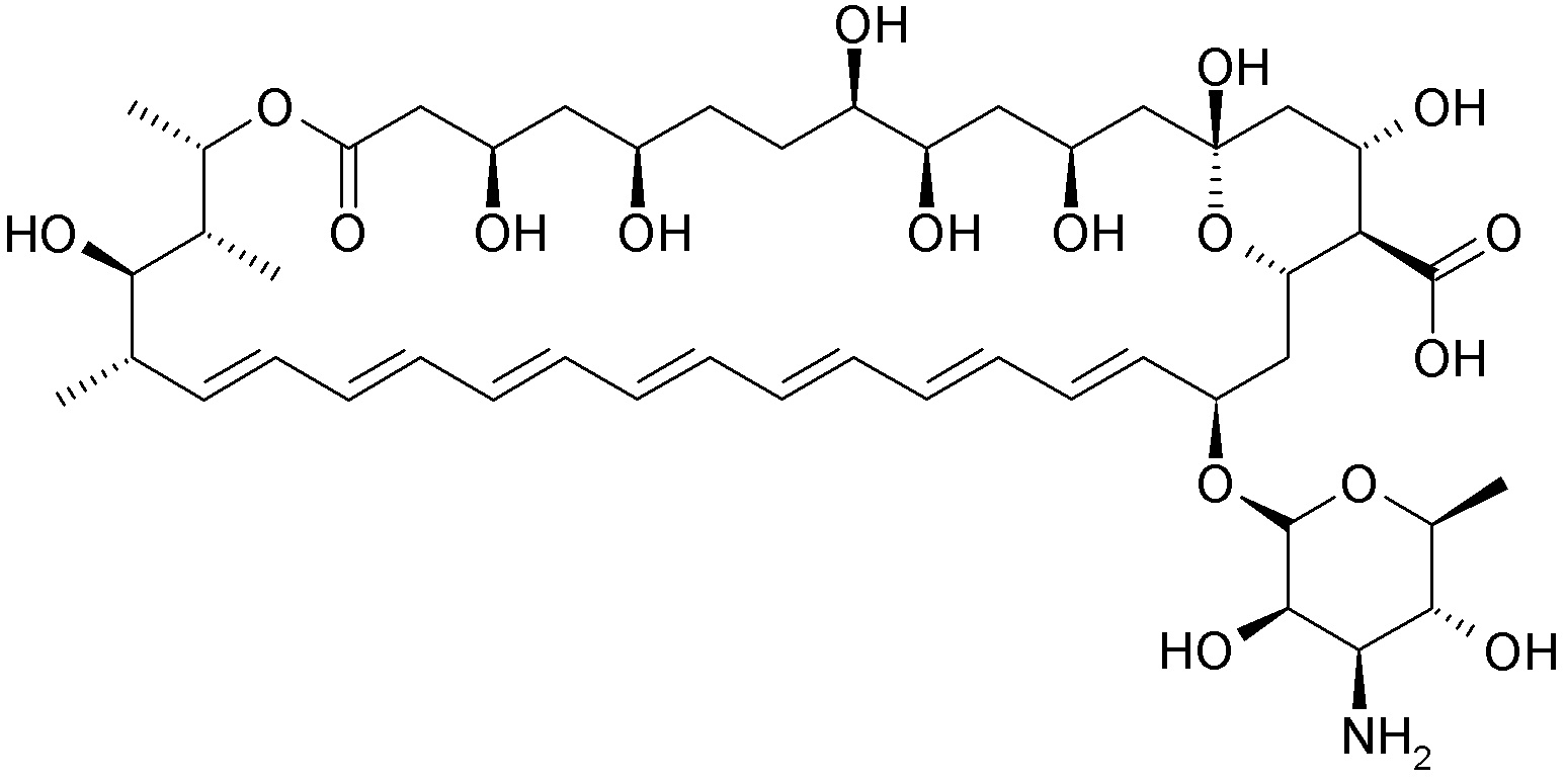
   Kemisk struktur  

Øjendråber
Kompatibilitet   Øjendråber   Kompatibilitet : Amphotericin B              
Ingen data

  Mentions Légales