Utolsó frissítés :
27/01/2026
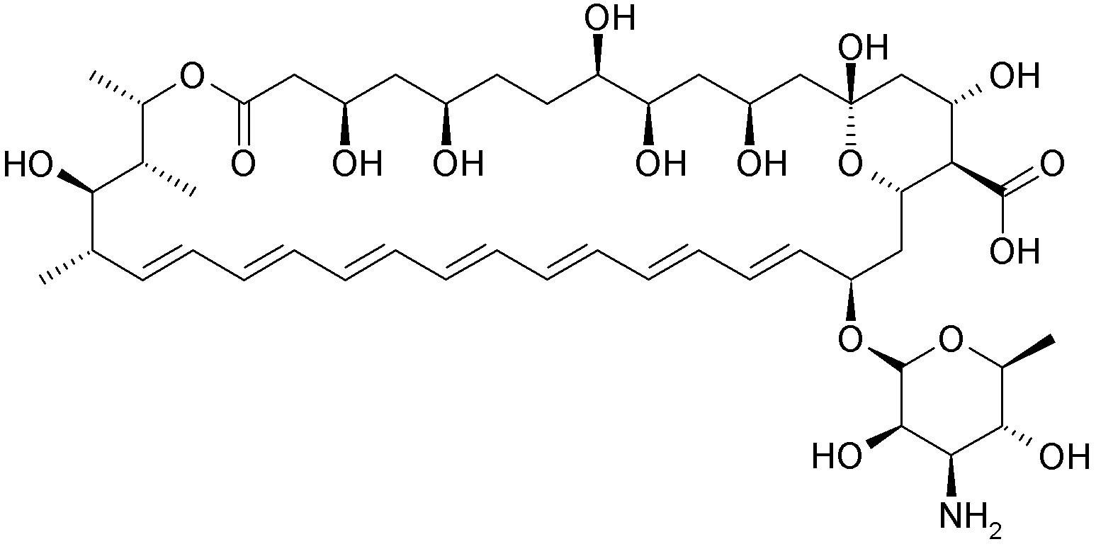
Gombaellenes szer   Amphotericin B  
Szemcsepp
aeroszol belsőleges oldat Injekció Szájvíz
Stabilitása gyógyszerészeti készítmények A keverékek stabilitása Stabilitást befolyásoló tényezők Kompatibilitás Irodalom pdf
   Kémiai szerkezet   

Szemcsepp
Kompatibilitás   Szemcsepp   Kompatibilitás : Amphotericin B              
Hiányzó adat

  Mentions Légales