zadnja posodobitev :
27/01/2026
Antimikotik   Amphotericin B  
Kapljice za oči
Aerosol Brizgalka Peroralna raztopina Ustna voda
Stabilnost farmacevtskih preparatov Stabilnost mešanice Faktorji, ki vplivajo na stabilnost Kompatibilnost Viri pdf
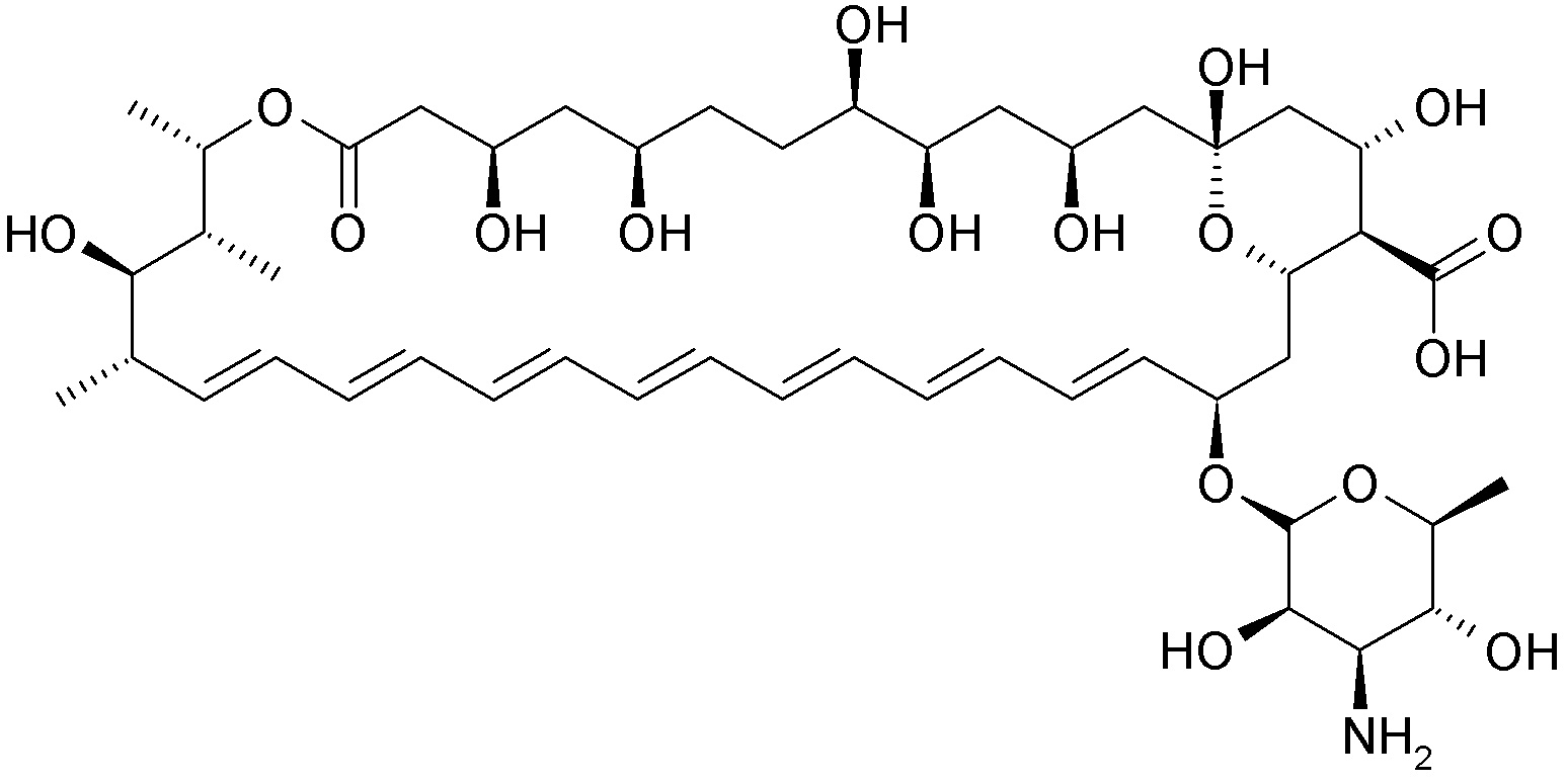
   Kemična formula  

Kapljice za oči
Kompatibilnost   Kapljice za oči   Kompatibilnost : Amphotericin B              
ni podatka

  Mentions Légales