Dernière mise à jour :
27/04/2026
Infostab
Liste des molécules
Listes récapitulatives
Recherches de compatibilités
Tableau de compatibilités en Y
Bibliographie
Equipes de recherche
Valistab
Posters
Liens infostab
Partenaires
Auteurs
Manuel d'utilisation
Lettre d'actualité
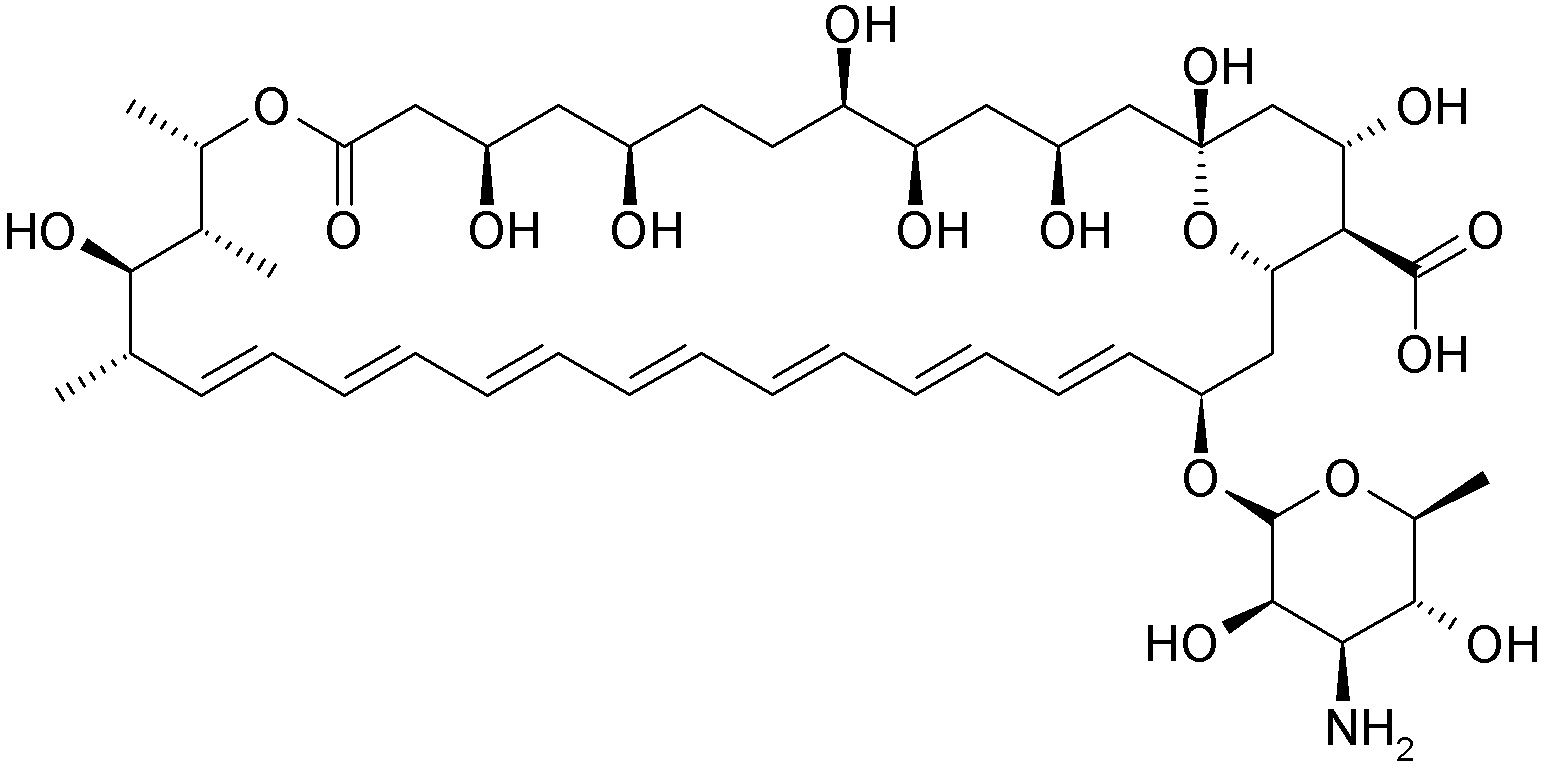
Amphotericin B
Structure chimique
Bibliographie : Amphotericin B
Type
Source
2867
Revue
Peyron F, Elias R, Ibrahim E, Amirat-Combralier V, Bu?s-Charbit M, Balansard G.
Stability of Amphotericin B in 5% Dextrose Ophthalmic Solution.
Int J Pharm Compound 1999 ; 3, 4: 316-320.
3848
Thèse
Dermu Marine.
Etude de stabilité d'un collyre à l'amphotéricine B 0,5%.
Thèse de doctorat en pharmacie 2014
4487
Revue
Chennell P, Yessaad M, Abd El Kader F, Jouannet M, Wasiak M, Bouattour Y, Sautou V.
Do Ophthalmic Solutions of Amphotericin B Solubilised in 2-Hydroxypropyl- -Cyclodextrins Possess an Extended Physicochemical Stability?
Pharmaceutics 2020 ; 12, 786.
Mentions Légales