Posledná aktualizácia :
27/01/2026
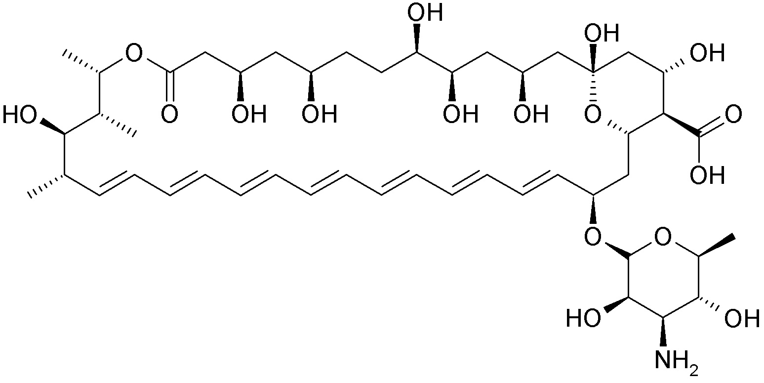
antimykotikum   Amphotericin B  
Očná instilácia
Aerosól Injekcia Kloktadlo Perorálny roztok
Stabilita farmaceutických prípravkov Stabilita v zmesiach Faktory ovplyvňujúce stabilitu Kompatibility Odkazy na literatúru PDF
   Chemický vzorec  

Očná instilácia
Kompatibility   Očná instilácia   Kompatibility : Amphotericin B              
žiadne údaje

  Mentions Légales