最新更新 :
27/01/2026
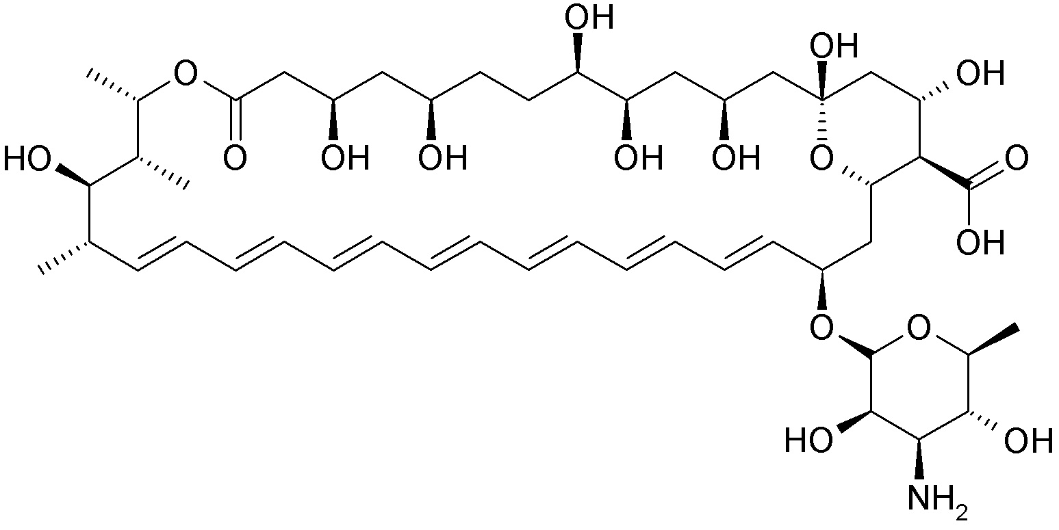
抗真菌药   Amphotericin B  
眼药水
口服剂 气雾剂 注射液 漱口水
制剂的稳定性 混合物稳定性 影响稳定性的因素 兼容性 引用文献 PDF
   化学式  

眼药水
兼容性   眼药水   兼容性 : Amphotericin B              
无数据

  Mentions Légales